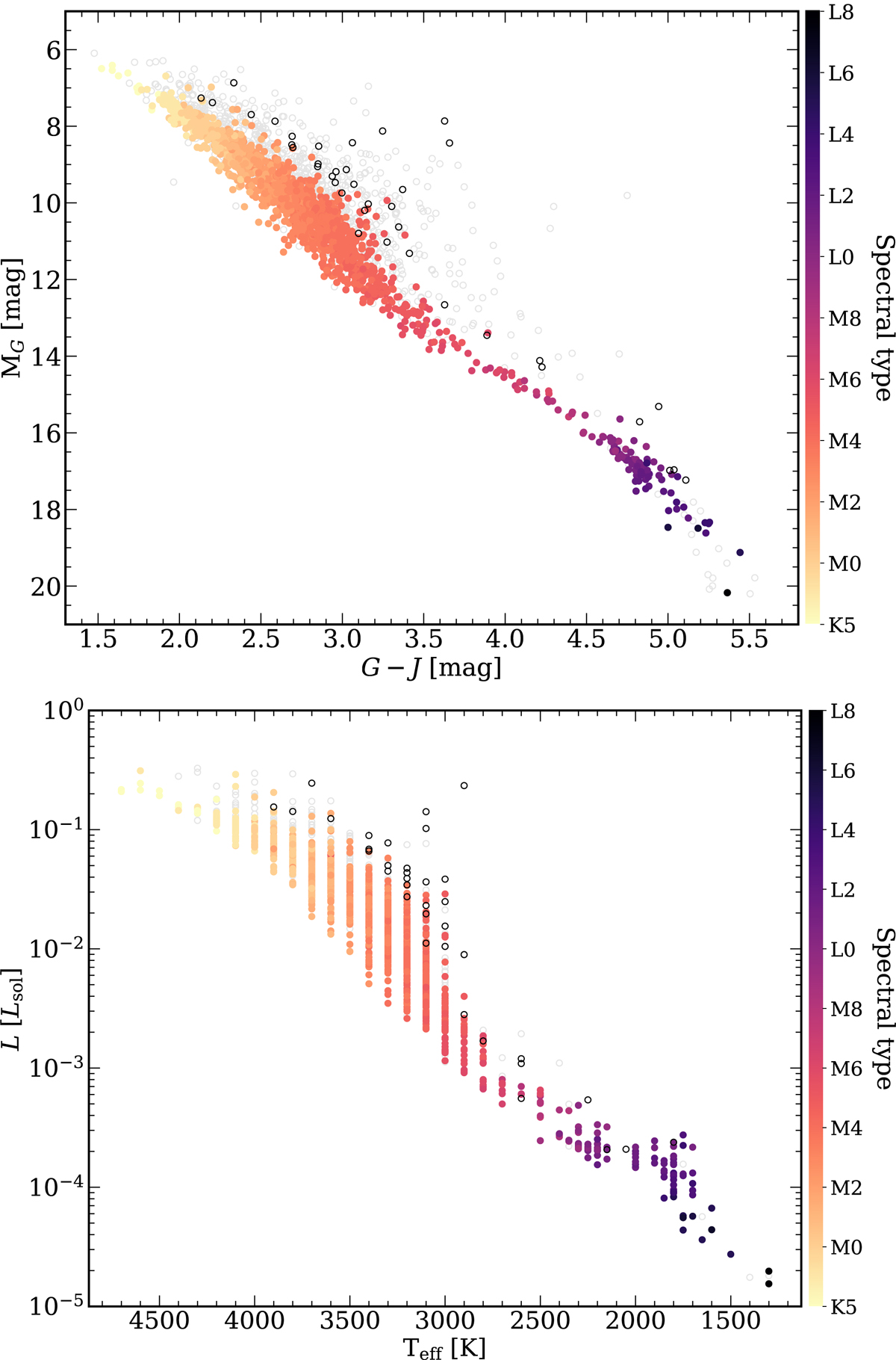
Fig. 12.

Absolute magnitude MG against G − J colour (top), and bolometric luminosity against effective temperature from VOSA (bottom). Top panel: empty grey circles represent stars with poor photometric quality data in G, J, or both passbands (Sect. 2.2), poor astrometric quality data (RUWE > 1.41) or non-parallactic distances (Sect. 2.3), and close binary stars (Sect. 2.4). Bottom panel: empty grey circles represent stars with poor astrometric quality data or non-parallactic distances, and close binary stars. In both panels, black empty circles are the 36 known young overluminous stars identified in our sample. The remaining “regular” stars are colour-coded by spectral type.
Current usage metrics show cumulative count of Article Views (full-text article views including HTML views, PDF and ePub downloads, according to the available data) and Abstracts Views on Vision4Press platform.
Data correspond to usage on the plateform after 2015. The current usage metrics is available 48-96 hours after online publication and is updated daily on week days.
Initial download of the metrics may take a while.