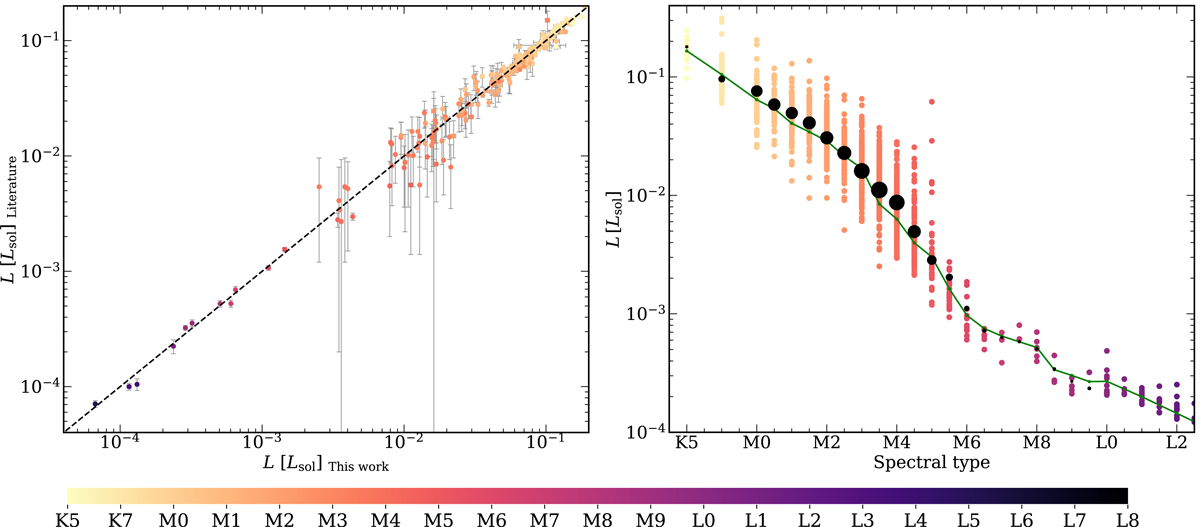
Fig. 19.

Comparison of L from VOSA and from the literature (left) and individual (coloured points) and median L (black circles) as a function of spectral type as in Table 6 (right). Right panel: green line outlines the empirical L-spectral type sequence of Pecaut & Mamajek (2013, with updated values for M0.0 V to M9.5 V; E. E. Mamajek, priv. comm.) and the size of the black points is proportional to the number of stars per spectral type.
Current usage metrics show cumulative count of Article Views (full-text article views including HTML views, PDF and ePub downloads, according to the available data) and Abstracts Views on Vision4Press platform.
Data correspond to usage on the plateform after 2015. The current usage metrics is available 48-96 hours after online publication and is updated daily on week days.
Initial download of the metrics may take a while.