Free Access
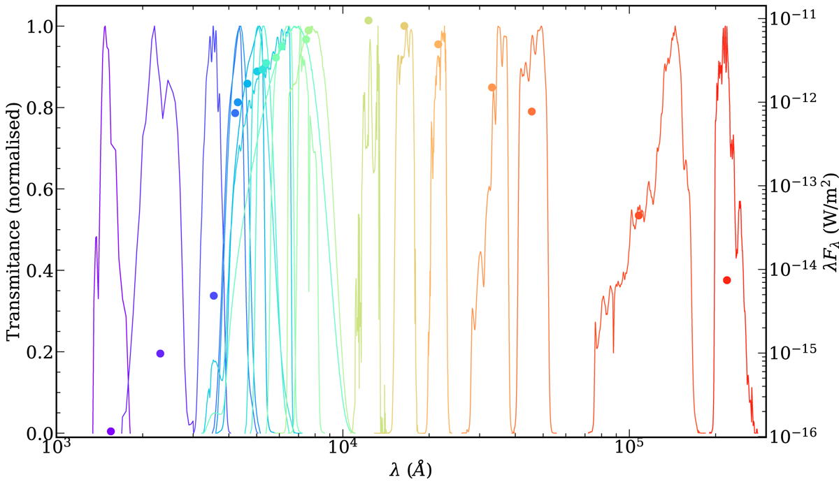
Fig. 3.

Normalised transmission curves of the 20 passbands employed for the compilation of photometry, taken from the SVO Filter Profile Service. For comparison, coloured filled circles depict the spectral energy distribution of DS Leo (Karmn J11026+219, M1.0 V).
Current usage metrics show cumulative count of Article Views (full-text article views including HTML views, PDF and ePub downloads, according to the available data) and Abstracts Views on Vision4Press platform.
Data correspond to usage on the plateform after 2015. The current usage metrics is available 48-96 hours after online publication and is updated daily on week days.
Initial download of the metrics may take a while.