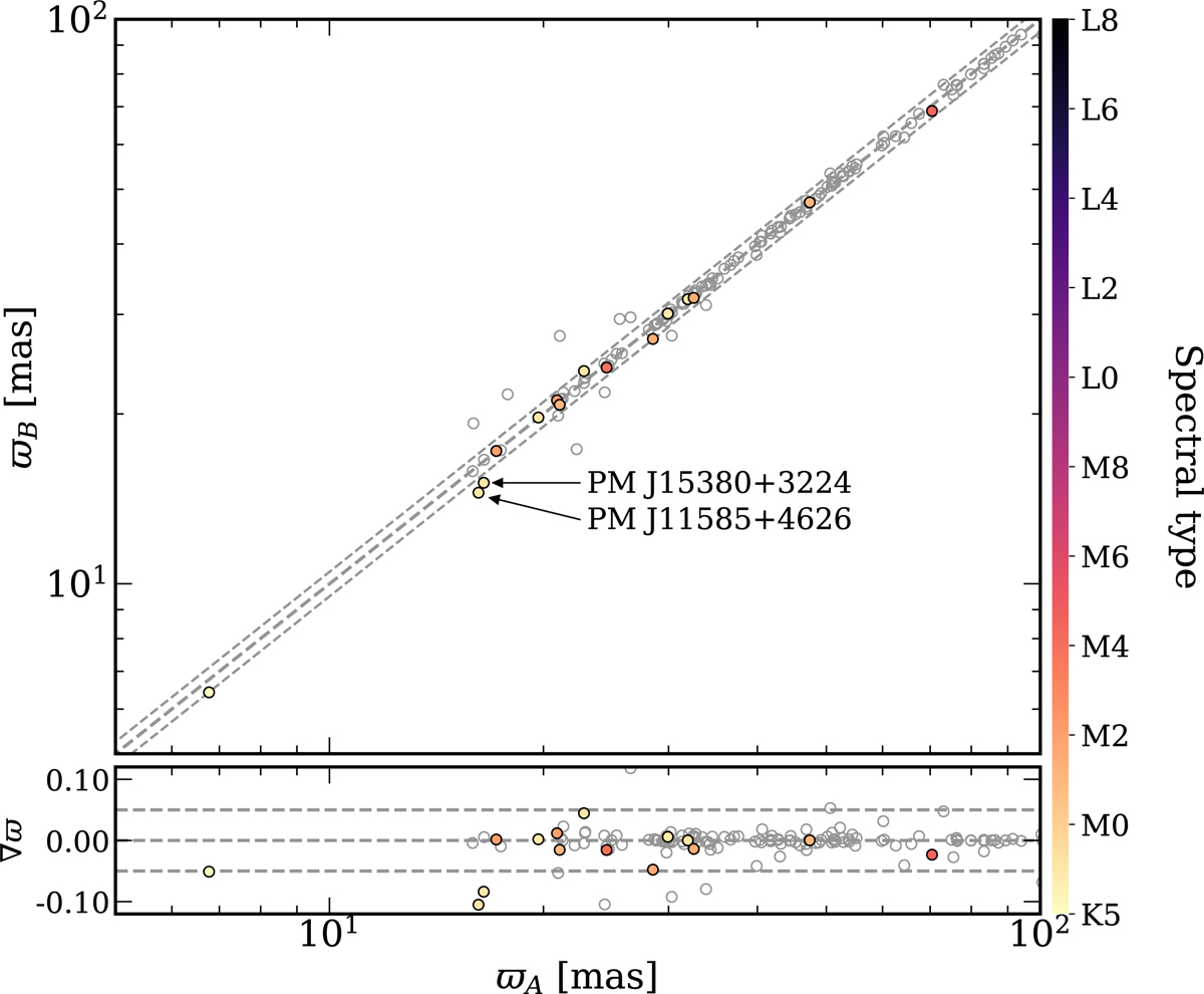
Fig. 8.

Parallax diagram of the primary (A) and secondary (B) components of the 15 new binary systems in Table A.1 with parallactic information in both components, colour-coded by spectral type. Bottom panel: normalised difference between both parallaxes, i.e. ∇ϖ=(ϖB − ϖA)/ϖA. Grey empty circles are the 134 previously known pairs in our sample with parallactic information for both components and angular separation of ρ < 5 arcsec. The black dash-dotted and dashed lines mark the 1:1 and 1:1 ± 0.05 (i.e. 5% difference), respectively. Two slight outliers from our list of binary candidates are labelled with their common names.
Current usage metrics show cumulative count of Article Views (full-text article views including HTML views, PDF and ePub downloads, according to the available data) and Abstracts Views on Vision4Press platform.
Data correspond to usage on the plateform after 2015. The current usage metrics is available 48-96 hours after online publication and is updated daily on week days.
Initial download of the metrics may take a while.