Free Access
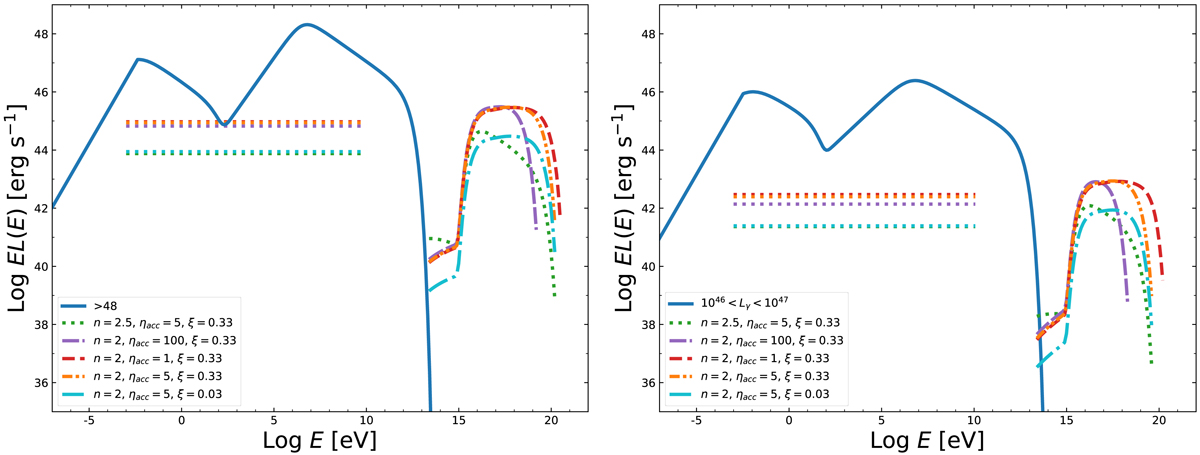
Fig. 4.

SED and neutrino component for an intermediate bin of FSRQ, 1046 erg s−1 < Lγ < 1047 erg s−1, left panel, and the highest bin Lγ > 1048 erg s−1. Blue line shows the SED derived by G17. Dashed lines correspond to the expected cascade of γ-rays from the π0 decay. In both cases, we report the inside BLR case.
Current usage metrics show cumulative count of Article Views (full-text article views including HTML views, PDF and ePub downloads, according to the available data) and Abstracts Views on Vision4Press platform.
Data correspond to usage on the plateform after 2015. The current usage metrics is available 48-96 hours after online publication and is updated daily on week days.
Initial download of the metrics may take a while.