Free Access
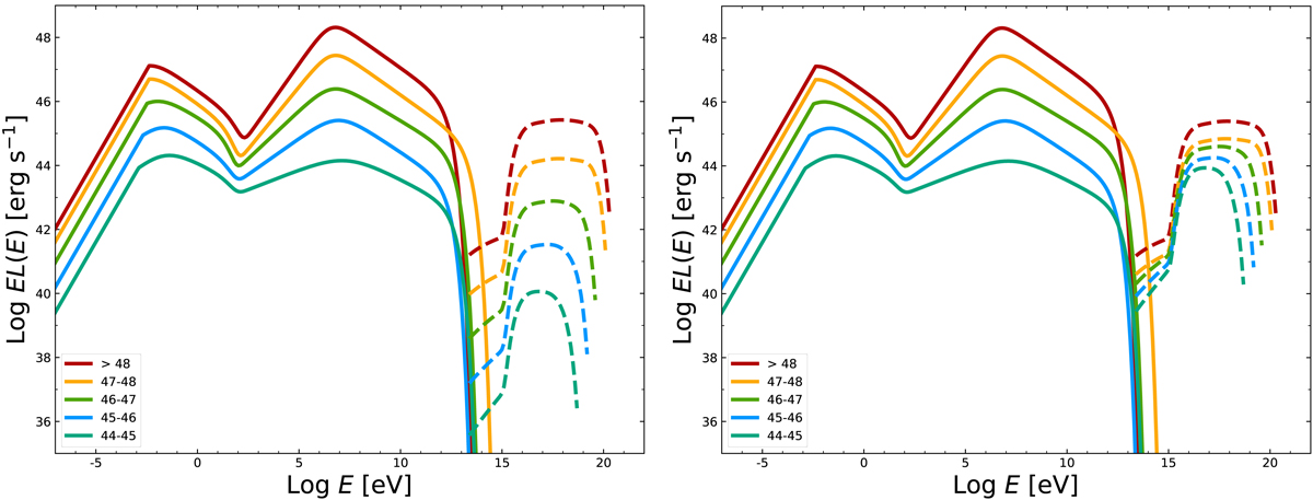
Fig. 5.

Electromagnetic SED of all categories of FSRQs, solid lines, with the expected neutrino spectra, dashed lines. Left panel: scenario with n = 2, ηacc = 5 and ξ = 0.3. Right panel: maximum scenario with n = 2, ηacc = 5 and ξ variable for each luminosity bin.
Current usage metrics show cumulative count of Article Views (full-text article views including HTML views, PDF and ePub downloads, according to the available data) and Abstracts Views on Vision4Press platform.
Data correspond to usage on the plateform after 2015. The current usage metrics is available 48-96 hours after online publication and is updated daily on week days.
Initial download of the metrics may take a while.