Free Access
Fig. 6.

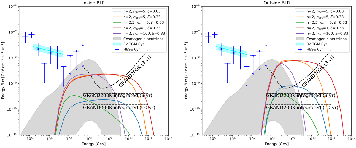
Diffuse neutrino case in the luminosity-dependent case, assuming ηacc = 5 in the left panel and ηacc = 50 in the right panel. The results are compared with the IceCube data (HESE as blue points, throughgoing muons as light blue band) plus the sensitivity of the future experiment GRAND.
Current usage metrics show cumulative count of Article Views (full-text article views including HTML views, PDF and ePub downloads, according to the available data) and Abstracts Views on Vision4Press platform.
Data correspond to usage on the plateform after 2015. The current usage metrics is available 48-96 hours after online publication and is updated daily on week days.
Initial download of the metrics may take a while.