Free Access

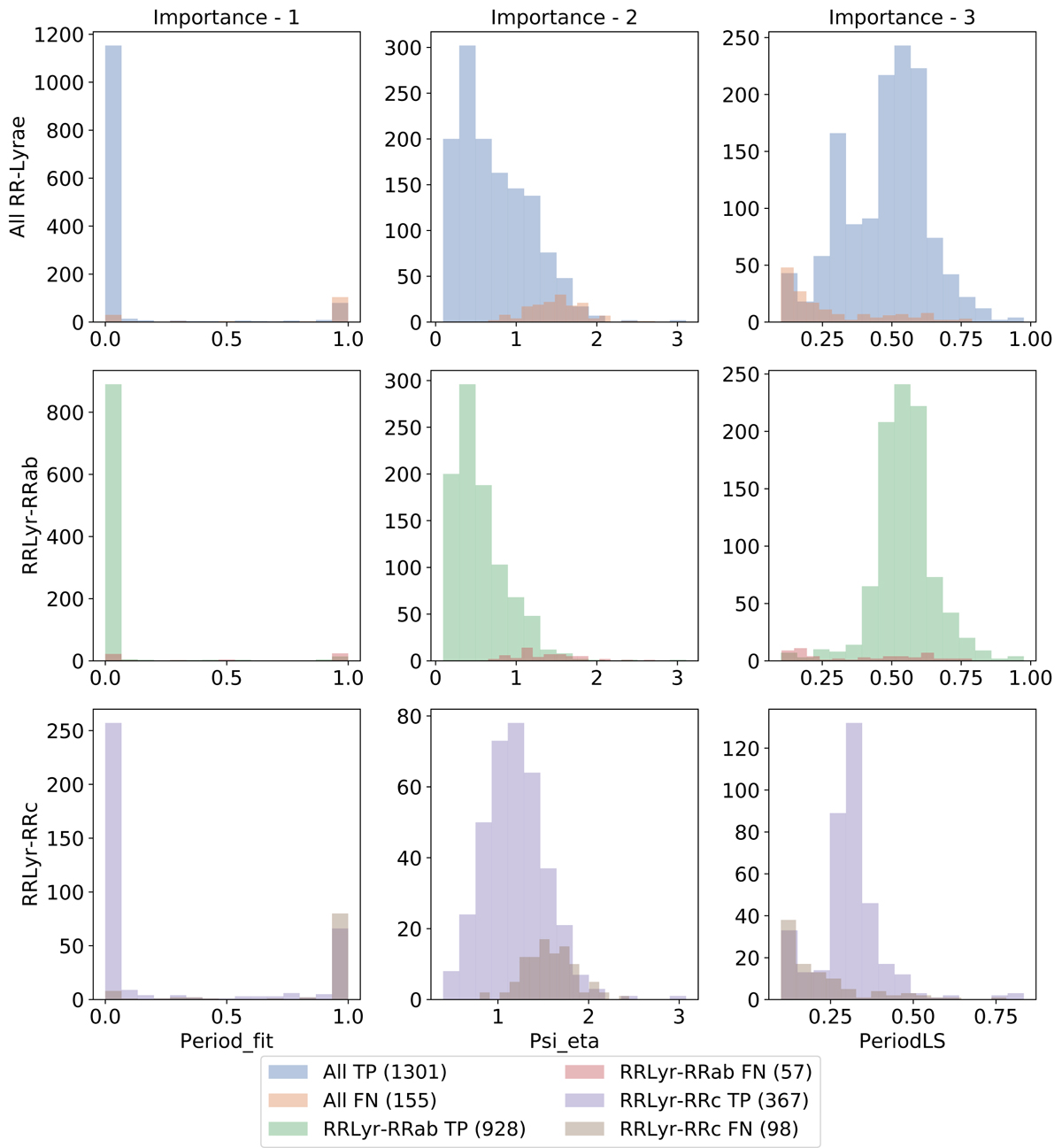
Fig. 17.

image

Distributions of the TP and FN classes for the RRL stars in all tiles according to the three most important features to differentiate them. In the top row all the stars are compared, in the mid row only the RRL-AB type, and in the low row the RRL-C type. Left column corresponds to period_fit, mid column to Psi_eta and right column to PeriodLS. All features were converted to z-scores and are dimensionless.

Current usage metrics show cumulative count of Article Views (full-text article views including HTML views, PDF and ePub downloads, according to the available data) and Abstracts Views on Vision4Press platform.

Data correspond to usage on the plateform after 2015. The current usage metrics is available 48-96 hours after online publication and is updated daily on week days.

Initial download of the metrics may take a while.