Free Access
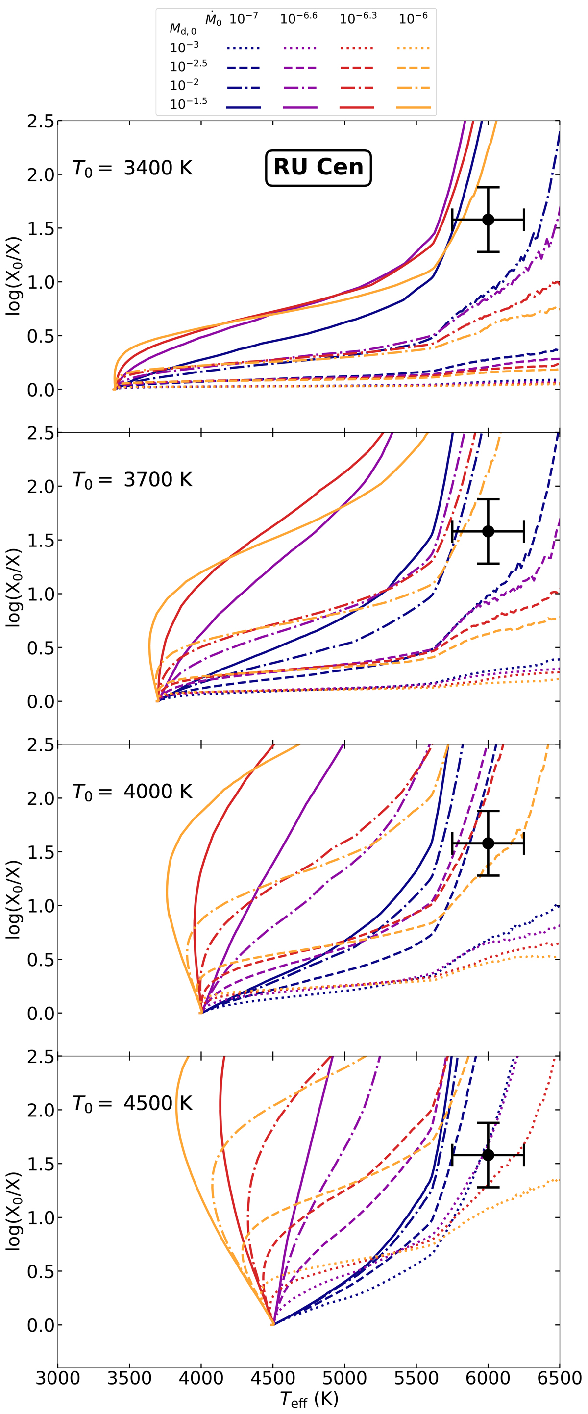
Fig. 2.

Depletion versus Teff plot for RU Cen with starting temperatures of 3400 K, 3700 K, 4000 K, and 4500 K from top to bottom, respectively. See legend at the top for definitions of colours and line styles.
Current usage metrics show cumulative count of Article Views (full-text article views including HTML views, PDF and ePub downloads, according to the available data) and Abstracts Views on Vision4Press platform.
Data correspond to usage on the plateform after 2015. The current usage metrics is available 48-96 hours after online publication and is updated daily on week days.
Initial download of the metrics may take a while.