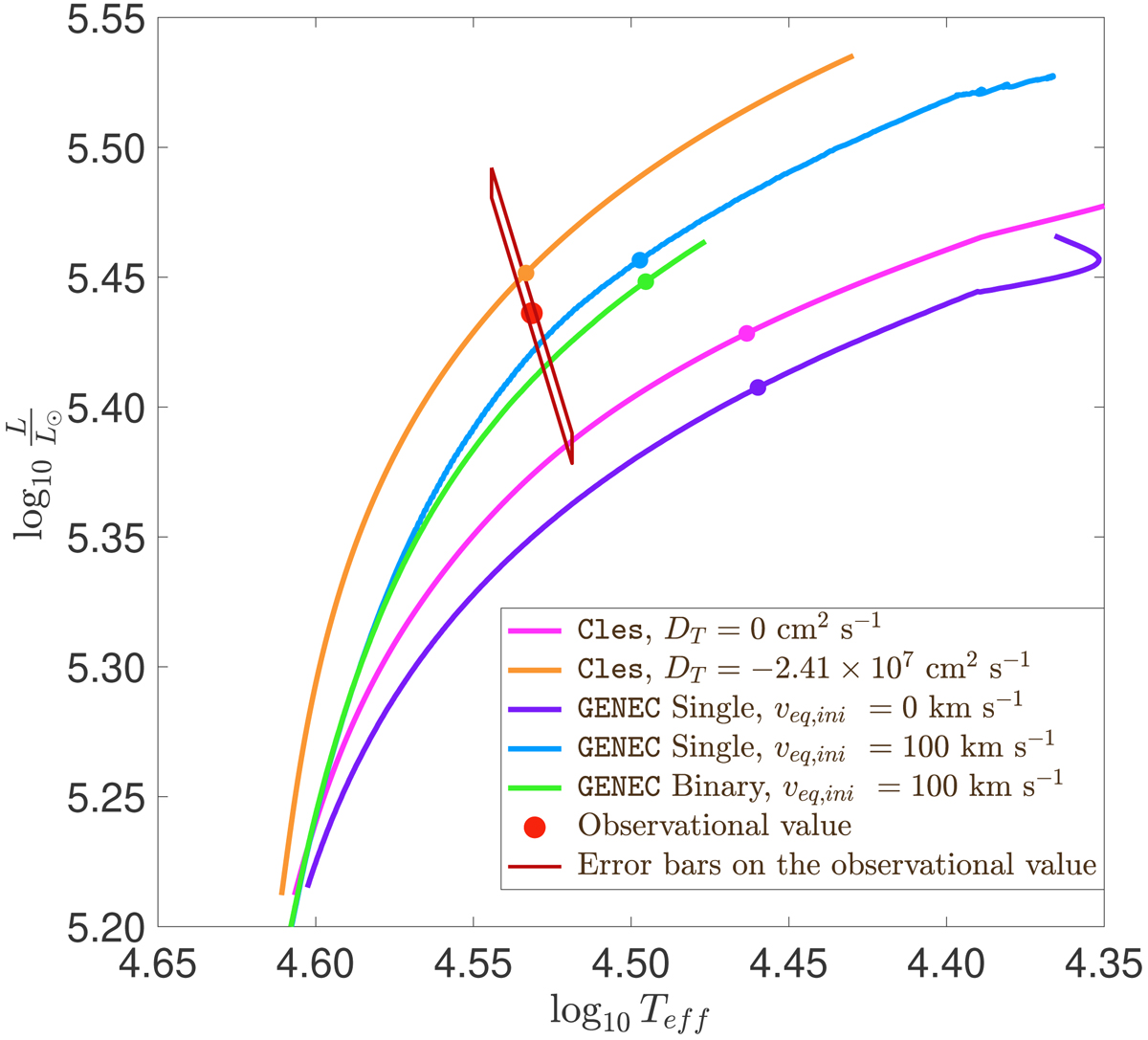
Fig. 13.

Hertzsprung-Russell diagram: evolutionary tracks of three GENEC models with an initial mass of 32.8 M⊙, overshooting parameter 0.20, Z = 0.015, and ξ = 1 for the single version (blue) and binary version (green) – both with initial rotational velocity veq,ini = 100 km s−1 – and the single version with zero initial rotational velocity (veq,ini = 0 km s−1, violet). Two Clés models with an initial mass of 32.8 M⊙, αov = 0.20, Z = 0.015, and ξ = 1 – one without turbulent diffusion (pink) and one with DT = −2.41 × 107 cm2 s−1 (orange) – are also presented for comparison. The dots on the corresponding tracks correspond to the models that fit the observational k2. The red point indicates the observationally determined value, while the dark red parallelogram indicates the associated error box.
Current usage metrics show cumulative count of Article Views (full-text article views including HTML views, PDF and ePub downloads, according to the available data) and Abstracts Views on Vision4Press platform.
Data correspond to usage on the plateform after 2015. The current usage metrics is available 48-96 hours after online publication and is updated daily on week days.
Initial download of the metrics may take a while.