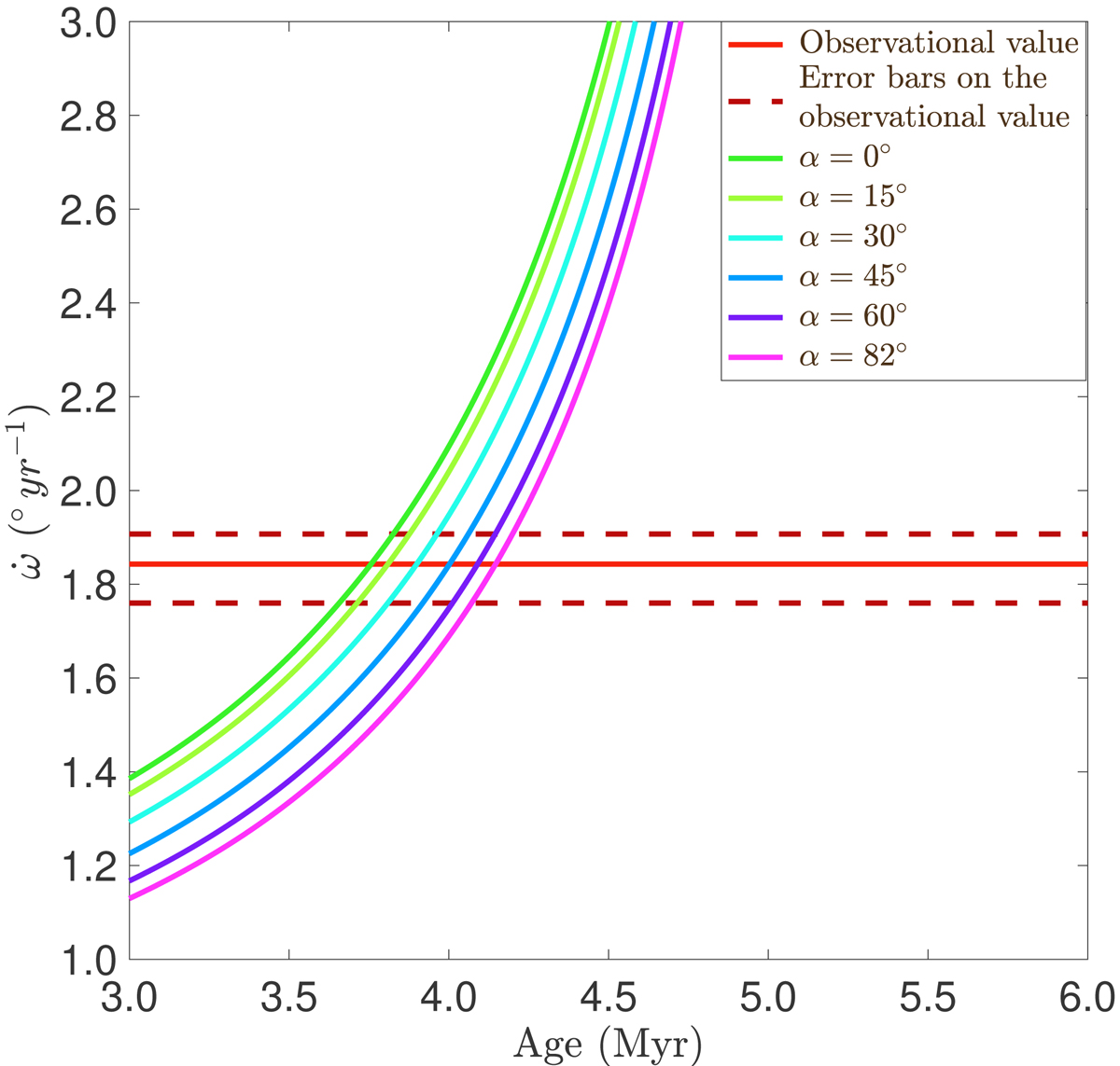
Fig. 18.

Evolution of the apsidal motion rate as a function of stellar age for Clés models with an initial mass of 31.0 M⊙ and αov = 0.20 for different misalignment angles α of the stellar rotation axes with respect to the normal to the orbital plane in the case where θ = 180°. The cases of α = 0° ,15° ,30° ,45° ,60° and 82° are depicted in green, light green, cyan, blue, purple, and pink, respectively. The observational value of the apsidal motion rate and its error bars are represented by the solid red line and the dashed dark red horizontal lines, respectively.
Current usage metrics show cumulative count of Article Views (full-text article views including HTML views, PDF and ePub downloads, according to the available data) and Abstracts Views on Vision4Press platform.
Data correspond to usage on the plateform after 2015. The current usage metrics is available 48-96 hours after online publication and is updated daily on week days.
Initial download of the metrics may take a while.