Free Access

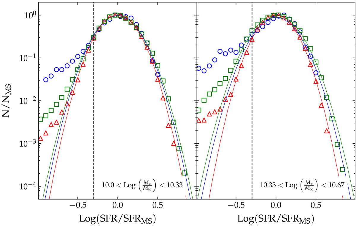
Fig. 13.

image

Star formation rate distribution of star forming galaxies at fixed stellar mass at z = 2. Blue points refer to Dianoga simulations, green squares to Magneticum Box2b, and red triangles to Magneticum Box2. SFRMS is computed independently for every simulation. NMS is the number of galaxies within the bin corresponding to SFR = SFRMS. Only bins with at least ten galaxies are shown. Coloured solid lines are Gaussian fits to simulations. Vertical black dashed line define the threshold above which data are used to estimate the fit.

Current usage metrics show cumulative count of Article Views (full-text article views including HTML views, PDF and ePub downloads, according to the available data) and Abstracts Views on Vision4Press platform.

Data correspond to usage on the plateform after 2015. The current usage metrics is available 48-96 hours after online publication and is updated daily on week days.

Initial download of the metrics may take a while.