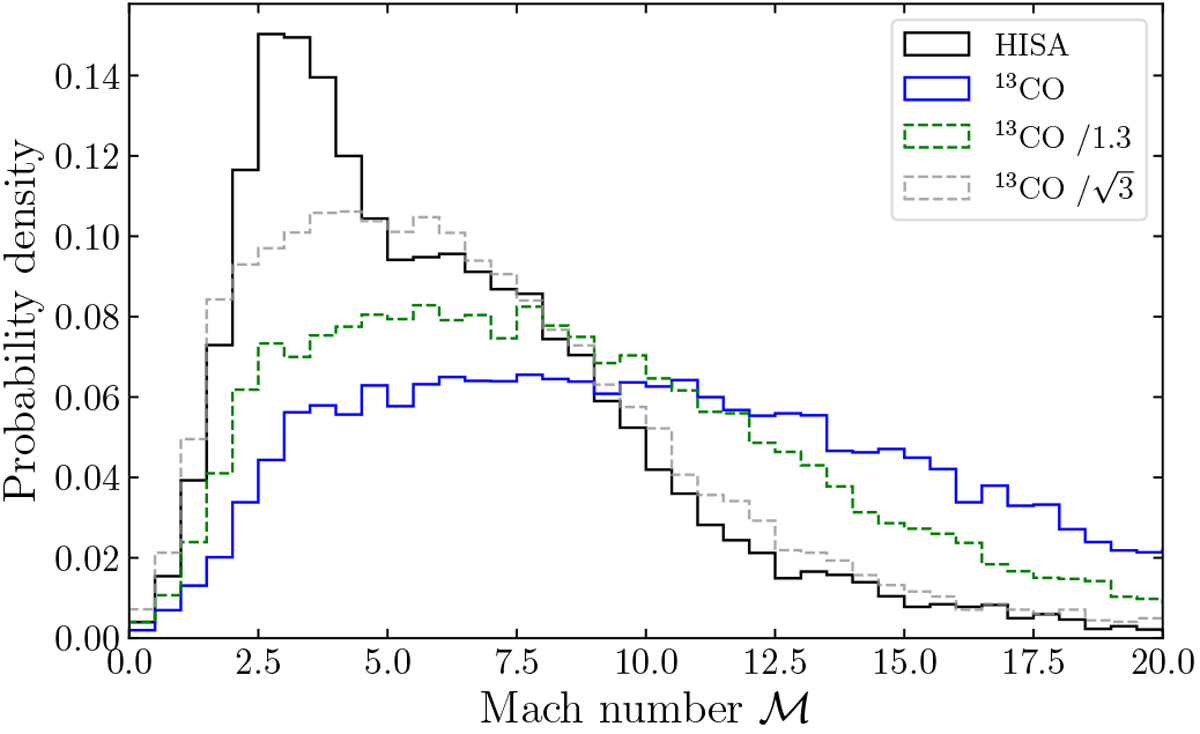
Fig. 10

Distribution of the turbulent Mach number across the whole filament. The cold atomic hydrogen traced by HISA is shown in black. The Mach numbers of the molecular gas seen in 13CO emission are shown in blue. The green and gray dashed distribution shows the 13CO Mach numbers if the 13CO line width is on average overestimated by 30% and , respectively.
Current usage metrics show cumulative count of Article Views (full-text article views including HTML views, PDF and ePub downloads, according to the available data) and Abstracts Views on Vision4Press platform.
Data correspond to usage on the plateform after 2015. The current usage metrics is available 48-96 hours after online publication and is updated daily on week days.
Initial download of the metrics may take a while.