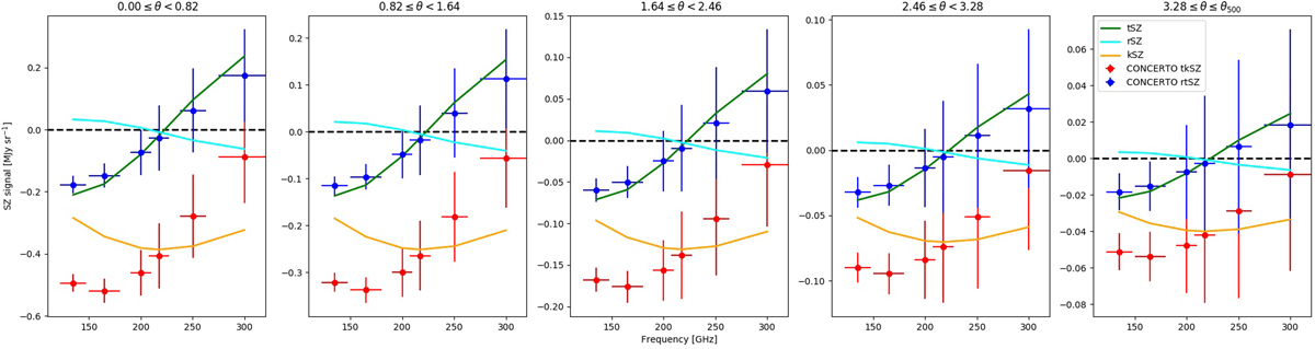
Fig. 17.

Thermal (green), kinetic (orange), and relativistic (light blue) SZ effect for a simulated cluster at redshift z = 0.4, with a mass of 1015 M⊙ and a temperature of 20 keV, which is moving at 1000 km h−1 towards the observer. From left to right, we present the measured CONCERTO SEDs for tSZ+kSZ and rSZ+tSZ, including uncertainties (red and blue dots, respectively) for different radial bins with respect to the centre of the cluster (θ in arcmin) up to the cluster’s characteristic radius, θ500, which is the radial angular distance at which the mean cluster density is 500 times the critical density at the cluster redshift.
Current usage metrics show cumulative count of Article Views (full-text article views including HTML views, PDF and ePub downloads, according to the available data) and Abstracts Views on Vision4Press platform.
Data correspond to usage on the plateform after 2015. The current usage metrics is available 48-96 hours after online publication and is updated daily on week days.
Initial download of the metrics may take a while.