Free Access

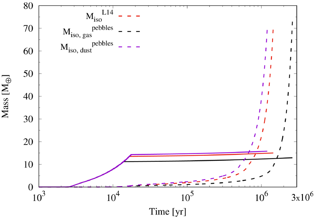
Fig. 10

image

Time evolution of the mass of the core and the envelope mass of the planet considering the pebble isolation masses given by Ataiee et al. (2018), compared to the fiducial case where we adopt the pebble isolation masses from Lambrechts et al. (2014). representsthe pebble isolation mass estimated from pure gas hydrodynamical simulations, while also takes into account the dust filtration across the partial gap due to dust diffusion.

Current usage metrics show cumulative count of Article Views (full-text article views including HTML views, PDF and ePub downloads, according to the available data) and Abstracts Views on Vision4Press platform.

Data correspond to usage on the plateform after 2015. The current usage metrics is available 48-96 hours after online publication and is updated daily on week days.

Initial download of the metrics may take a while.