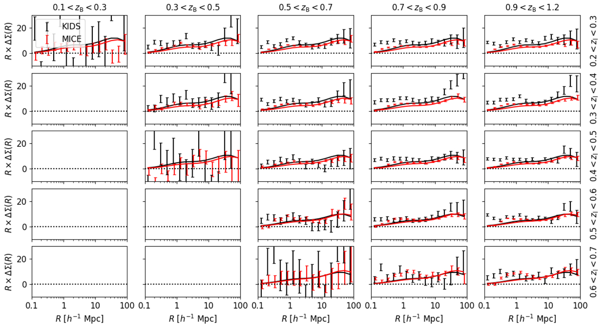
Fig. 4.

Measurements of the projected mass density, ΔΣ(R), for the KiDS-LRG dataset (black points) and representative MICE mocks (red points), displayed in the same style as Fig. 3. No measurements are possible for the lower left-hand set of panels, owing to the adopted cut in source-lens pairs, zB > zl. The units of ΔΣ are h M⊙ pc−2.
Current usage metrics show cumulative count of Article Views (full-text article views including HTML views, PDF and ePub downloads, according to the available data) and Abstracts Views on Vision4Press platform.
Data correspond to usage on the plateform after 2015. The current usage metrics is available 48-96 hours after online publication and is updated daily on week days.
Initial download of the metrics may take a while.