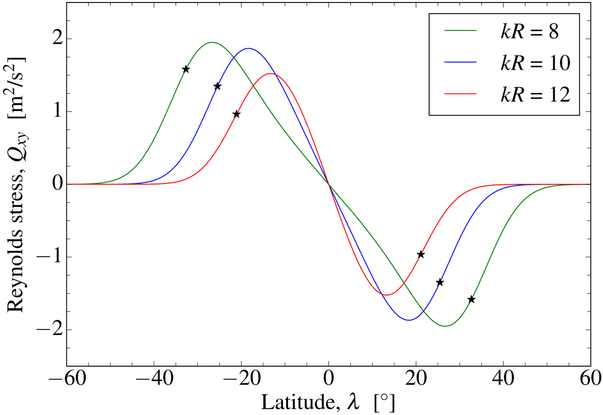
Fig. 11.

Horizontal Reynolds stress Qxy vs. latitude for R modes with kR = 8, 10, and 12. The Reynolds number is Re = 300, and mode amplitudes were normalized according to Eq. (40). Both the zonal flow U and the meridional flow V were included to compute the mode eigenfunctions. The stars show the locations of the viscous critical layer for the different values of kR.
Current usage metrics show cumulative count of Article Views (full-text article views including HTML views, PDF and ePub downloads, according to the available data) and Abstracts Views on Vision4Press platform.
Data correspond to usage on the plateform after 2015. The current usage metrics is available 48-96 hours after online publication and is updated daily on week days.
Initial download of the metrics may take a while.