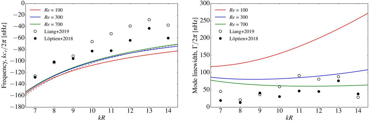
Fig. 7.

Left panel: R-mode dispersion relations ω = kcr for Re = 100, 300, and 700 (red, blue, and green). The dashed black curve is the reference dispersion relation ω = kc0. For comparison, the frequencies of each mode m observed by Löptien et al. (2018) and Liang et al. (2019) are multiplied by the factor (m + 1)/kR and plotted at abscissa kR (this simple conversion factor is derived from the dispersion relations for classical Rossby waves in spherical and local Cartesian geometries). Right panel: plot of Γ = −2kci for Re = 100, 300, and 700. The observed full widths at half maximum for each mode m are plotted at abscissa kR for comparison.
Current usage metrics show cumulative count of Article Views (full-text article views including HTML views, PDF and ePub downloads, according to the available data) and Abstracts Views on Vision4Press platform.
Data correspond to usage on the plateform after 2015. The current usage metrics is available 48-96 hours after online publication and is updated daily on week days.
Initial download of the metrics may take a while.