Free Access
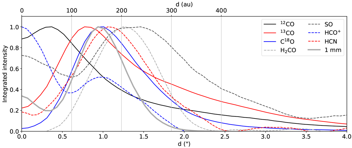
Fig. 9

Radial profiles of de-projected integrated intensity maps (moment zero maps) normalized to the peak of the distribution,assuming i = 24.9° and PA = 37°. We also include for comparison the radial profile of the continuum intensity.
Current usage metrics show cumulative count of Article Views (full-text article views including HTML views, PDF and ePub downloads, according to the available data) and Abstracts Views on Vision4Press platform.
Data correspond to usage on the plateform after 2015. The current usage metrics is available 48-96 hours after online publication and is updated daily on week days.
Initial download of the metrics may take a while.