Free Access

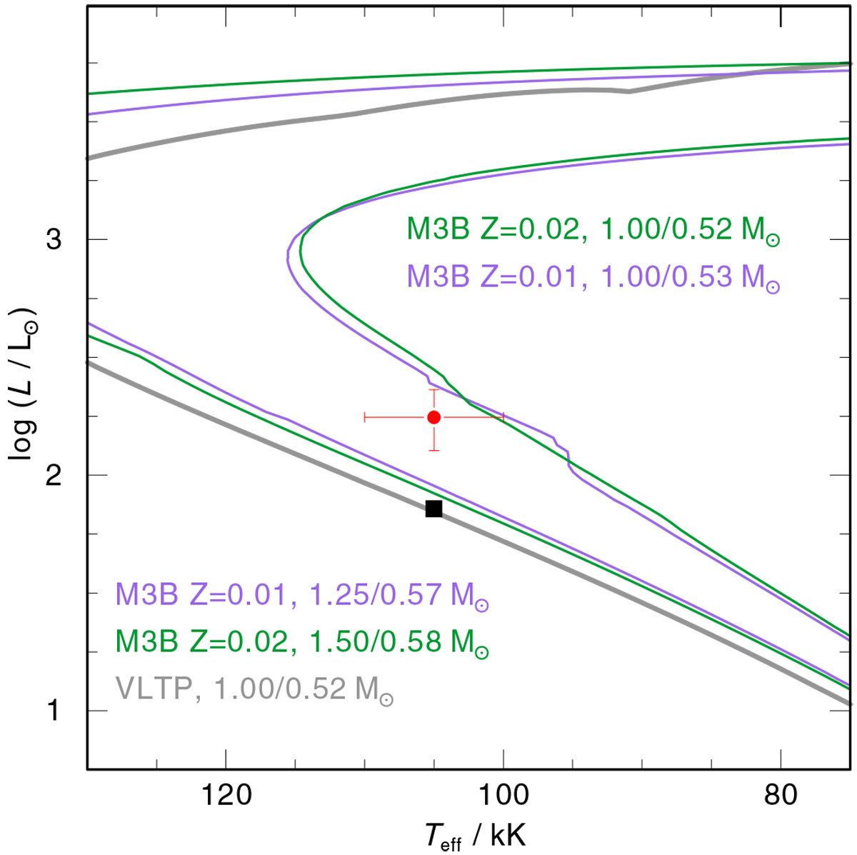
Fig. 9

image

Location of UCAC2 46706450−B (red) in the HRD compared to stellar evolutionary tracks of Miller Bertolami (2016) calculated for Z = 0.01 (purple) andZ = 0.02 (green). Initial and final masses of the tracks are indicated. Shown in gray is a VLTP evolutionary track. The black square indicates the position of EGB 6.

Current usage metrics show cumulative count of Article Views (full-text article views including HTML views, PDF and ePub downloads, according to the available data) and Abstracts Views on Vision4Press platform.

Data correspond to usage on the plateform after 2015. The current usage metrics is available 48-96 hours after online publication and is updated daily on week days.

Initial download of the metrics may take a while.