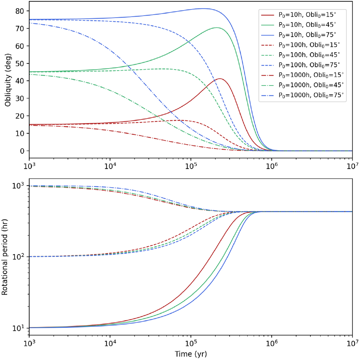
Fig. 15

Obliquity and rotational period evolution due to the effects of tides for planet TOI-1266 c for the case of 1 × k2,⊕Δτ⊕. Each set of line-style curves represents a different initial spin-rate, and each set of coloured curves represents a different initial obliquity. It is seems that for any possible combination of the initial conditions, within only a short time scale (compared with the age of the star), the planet is tidally locked.
Current usage metrics show cumulative count of Article Views (full-text article views including HTML views, PDF and ePub downloads, according to the available data) and Abstracts Views on Vision4Press platform.
Data correspond to usage on the plateform after 2015. The current usage metrics is available 48-96 hours after online publication and is updated daily on week days.
Initial download of the metrics may take a while.