Open Access

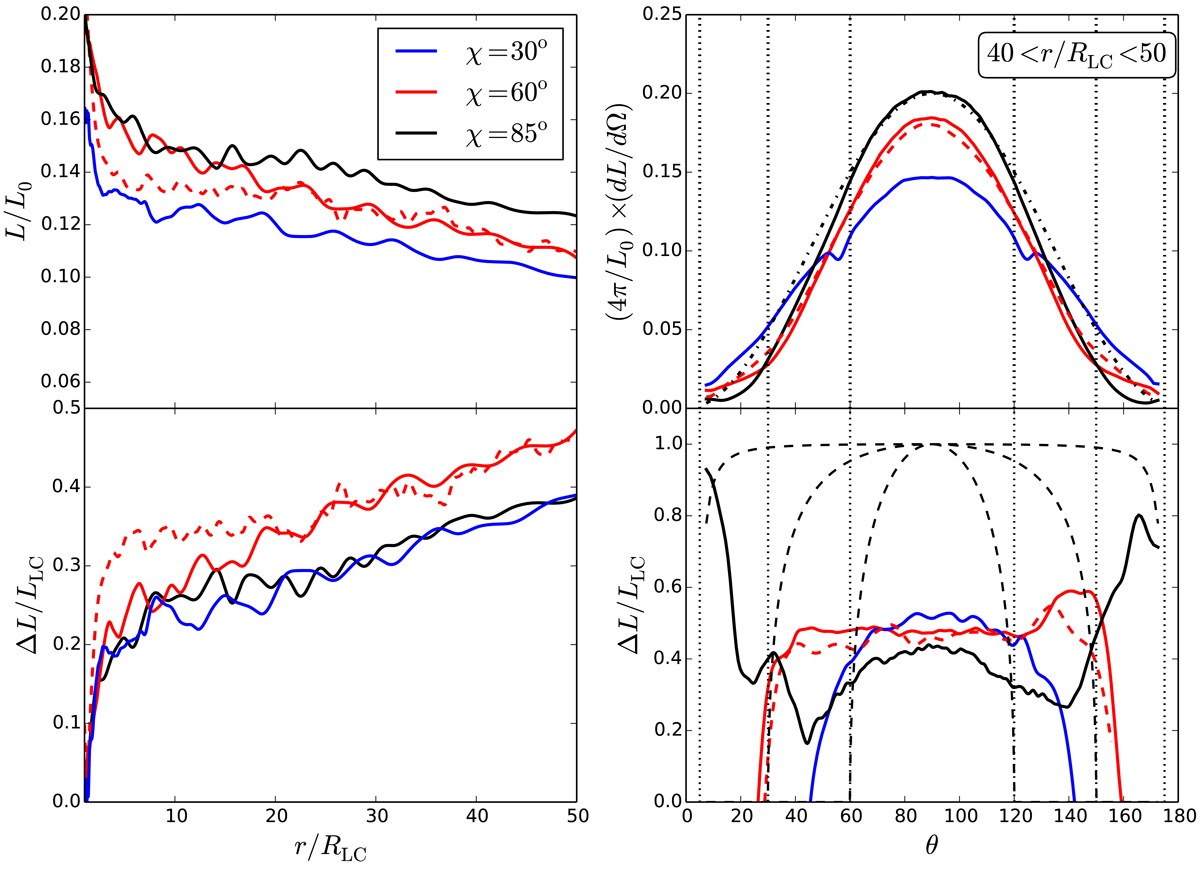
Fig. 3.

image

Left panels: radial evolution of the Poynting flux normalized to the expected monopole solution (top) and dissipated fraction relative to the light-cylinder value ΔL = L(r) − LLC normalized by LLC (bottom). Right panels: latitude dependence of the normalized Poynting flux per unit of solid angle dL/dΩ (top) and dissipated fraction (bottom) averaged over the radial range 40 ≤ r/RLC ≤ 50. Vertical dotted lines show the predicted maximal latitudinal extension of the striped wind. The dot-dashed line is a sin2θ profile for comparison with the monopole prediction (top-right panel). The full dissipation model of the striped wind proposed by Lyubarsky (2003), Komissarov (2013) is shown by the dashed black line in the lower-right panel. In all panels, these quantities are shown for all 3D runs performed in this study, including the constant radial grid spacing solution for χ = 60°, represented by the dashed red line.

Current usage metrics show cumulative count of Article Views (full-text article views including HTML views, PDF and ePub downloads, according to the available data) and Abstracts Views on Vision4Press platform.

Data correspond to usage on the plateform after 2015. The current usage metrics is available 48-96 hours after online publication and is updated daily on week days.

Initial download of the metrics may take a while.