Open Access

Fig. 4.

image

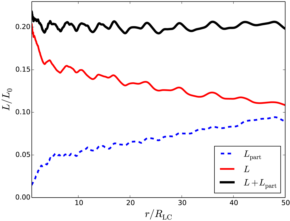
Radial evolution of the kinetic energy flux carried by the particles, Lpart = ∬n(γ − 1)mec2vrr2sinθdθdϕ (dashed blue line), along with the Poynting flux, L (solid red line) and the total power, Ltot = L + Lpart (thick solid black line) for χ = 60°. Luminosities are normalized by the monopole spindown power L0.

Current usage metrics show cumulative count of Article Views (full-text article views including HTML views, PDF and ePub downloads, according to the available data) and Abstracts Views on Vision4Press platform.

Data correspond to usage on the plateform after 2015. The current usage metrics is available 48-96 hours after online publication and is updated daily on week days.

Initial download of the metrics may take a while.