Open Access

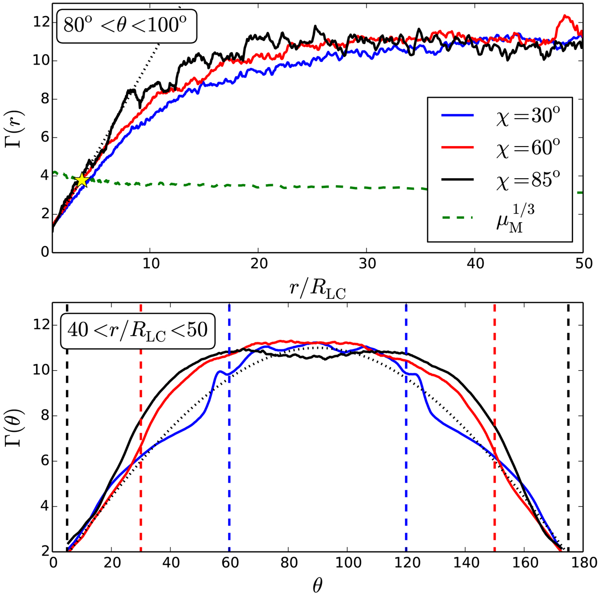
Fig. 6.

image

Top: ϕ-averaged plasma bulk Lorentz factor in the striped wind region within 80° ≤θ ≤ 100° as a function of radius Γ(r). The dotted black line is the monopole prediction, . The dashed green line is the Michel magnetization parameter, μM (see Eq. (11)), to the power 1/3. The fast magnetosonic point is located at the yellow star, where . Bottom: θ-dependence of Γ(θ). Vertical dashed lines delimit the extension of the striped wind region. The black dotted line is a sinθ profile, as expected from the monopole solution.

Current usage metrics show cumulative count of Article Views (full-text article views including HTML views, PDF and ePub downloads, according to the available data) and Abstracts Views on Vision4Press platform.

Data correspond to usage on the plateform after 2015. The current usage metrics is available 48-96 hours after online publication and is updated daily on week days.

Initial download of the metrics may take a while.