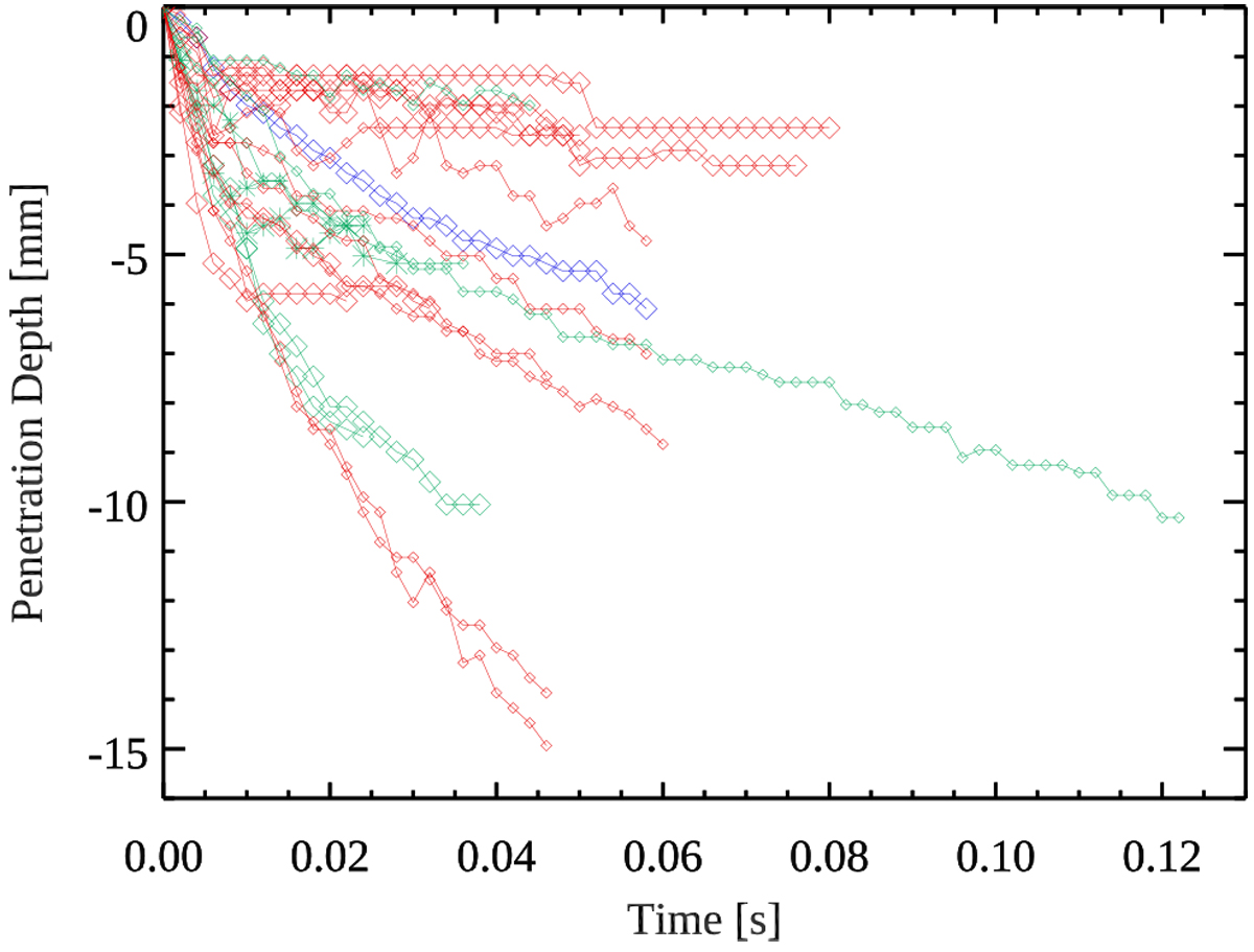
Fig. 12

Sample of tracked projectile trajectories during target penetration. Plus signs: Teflon projectile. Asterisk: glass. Diamonds: brass. The symbol sizes indicate the grain size of the target material, with smaller symbols for the mm-sized target grains, medium ones for mixed targets, and larger symbols for cm-sized targets. The color denotes ranges in impact energy, with blue for impacts below 10−3 J, green between 10−3 J and 10−2 J, and red above 10−2 J.
Current usage metrics show cumulative count of Article Views (full-text article views including HTML views, PDF and ePub downloads, according to the available data) and Abstracts Views on Vision4Press platform.
Data correspond to usage on the plateform after 2015. The current usage metrics is available 48-96 hours after online publication and is updated daily on week days.
Initial download of the metrics may take a while.