Free Access
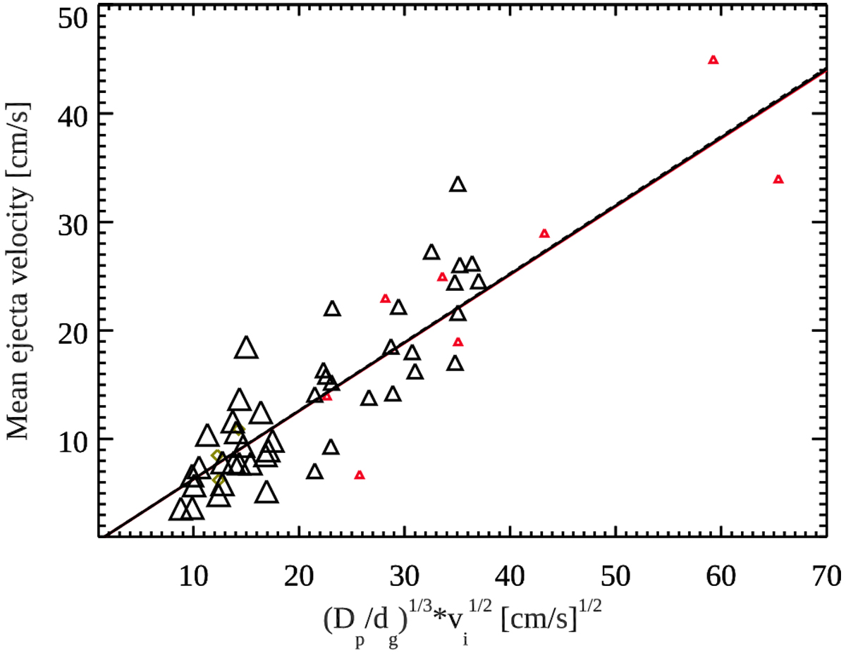
Fig. 8

Ejecta speed scaling with projectile diameter (Dp), the average target grain diameter (dg), and the impact speed (vi). Symbols and (overlapping) lines are the same as in Fig. 7. The proportionality factor is 0.63 for all three grain populations.
Current usage metrics show cumulative count of Article Views (full-text article views including HTML views, PDF and ePub downloads, according to the available data) and Abstracts Views on Vision4Press platform.
Data correspond to usage on the plateform after 2015. The current usage metrics is available 48-96 hours after online publication and is updated daily on week days.
Initial download of the metrics may take a while.