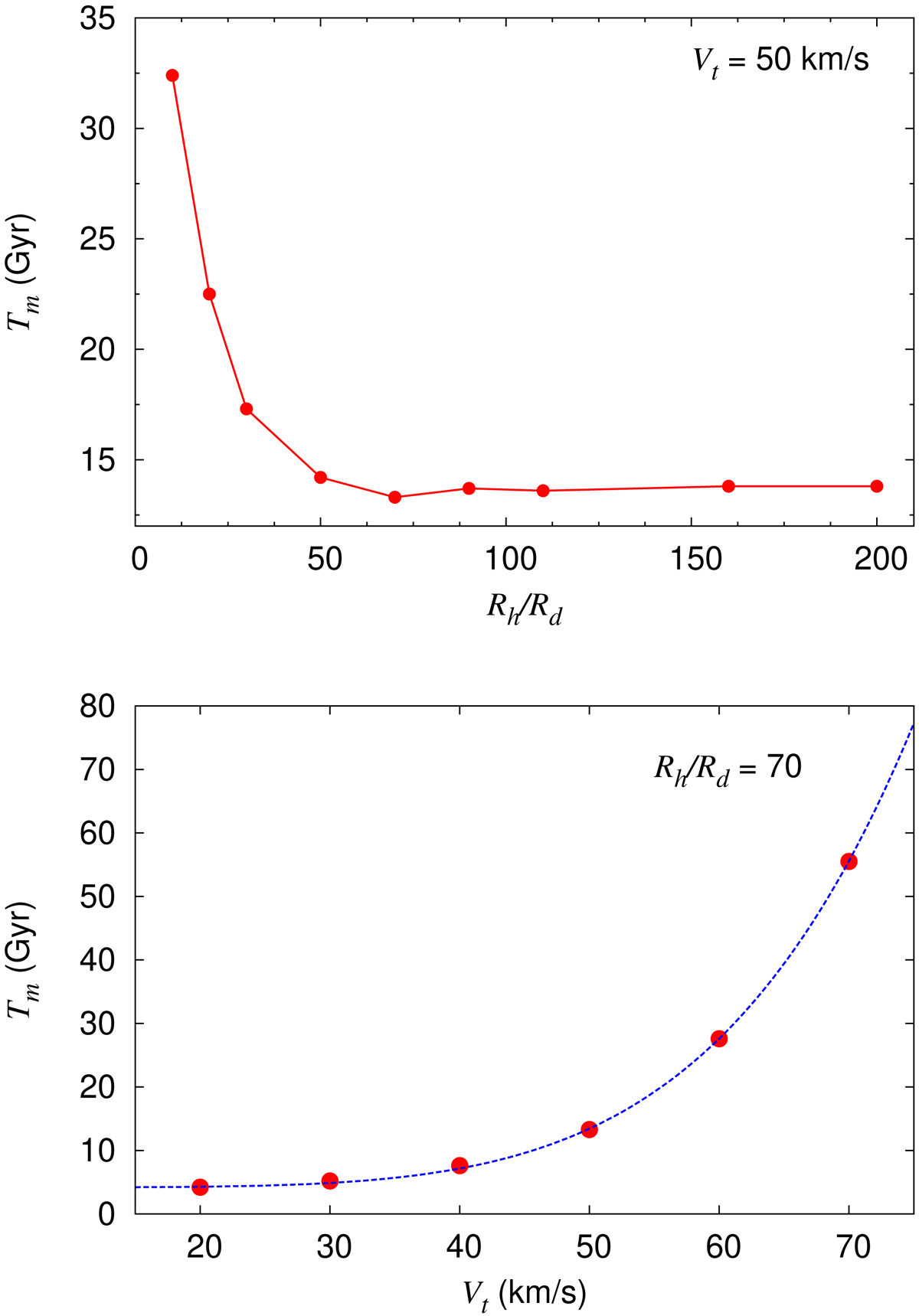
Fig. 4.

Top: time of the merger as a function of the cutoff radius of the halo Rh, given in units of the scale radius of the disk Rd and assumed equal for the two galaxies. The initial tangential velocity here is fixed at 50 km s−1. Bottom: correlation between the time of the merger and the initial tangential velocity in the case of no IGM. The cutoff radii of the halos here are fixed at 70 Rd.
Current usage metrics show cumulative count of Article Views (full-text article views including HTML views, PDF and ePub downloads, according to the available data) and Abstracts Views on Vision4Press platform.
Data correspond to usage on the plateform after 2015. The current usage metrics is available 48-96 hours after online publication and is updated daily on week days.
Initial download of the metrics may take a while.