Open Access

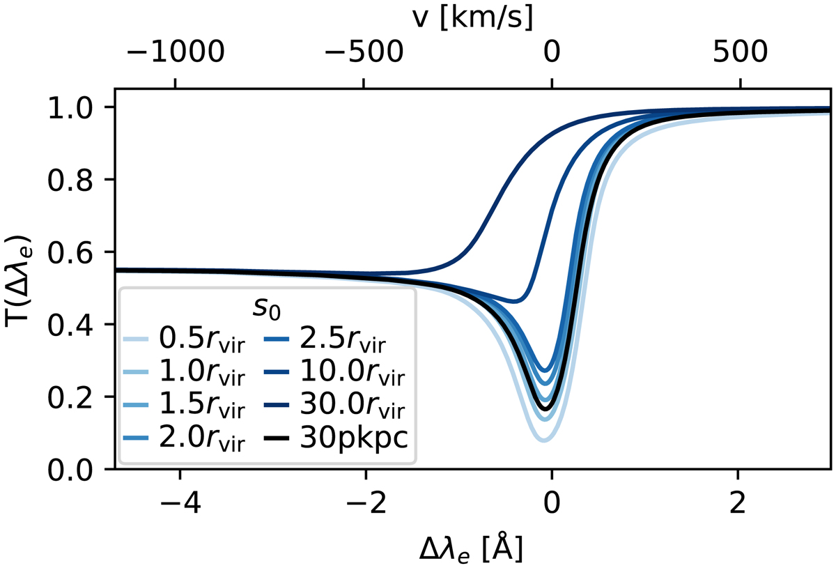
Fig. B.1.

image

Impact of the lower integration bound s0 for mean transmission curves. We averaged over all LOS and Lyα- emitting galaxy candidates at z = 3. We show the cases of f = 0.5, 1.0, 2.0, 2.5 around our fiducial case of 1.5. These results are contrasted with cases f = 10.0, 30.0 for interaction on large scales only. In addition, we show the case of a fixed s0 = 30 pkpc irrespective of virial radius of the underlying halo.

Current usage metrics show cumulative count of Article Views (full-text article views including HTML views, PDF and ePub downloads, according to the available data) and Abstracts Views on Vision4Press platform.

Data correspond to usage on the plateform after 2015. The current usage metrics is available 48-96 hours after online publication and is updated daily on week days.

Initial download of the metrics may take a while.