Free Access

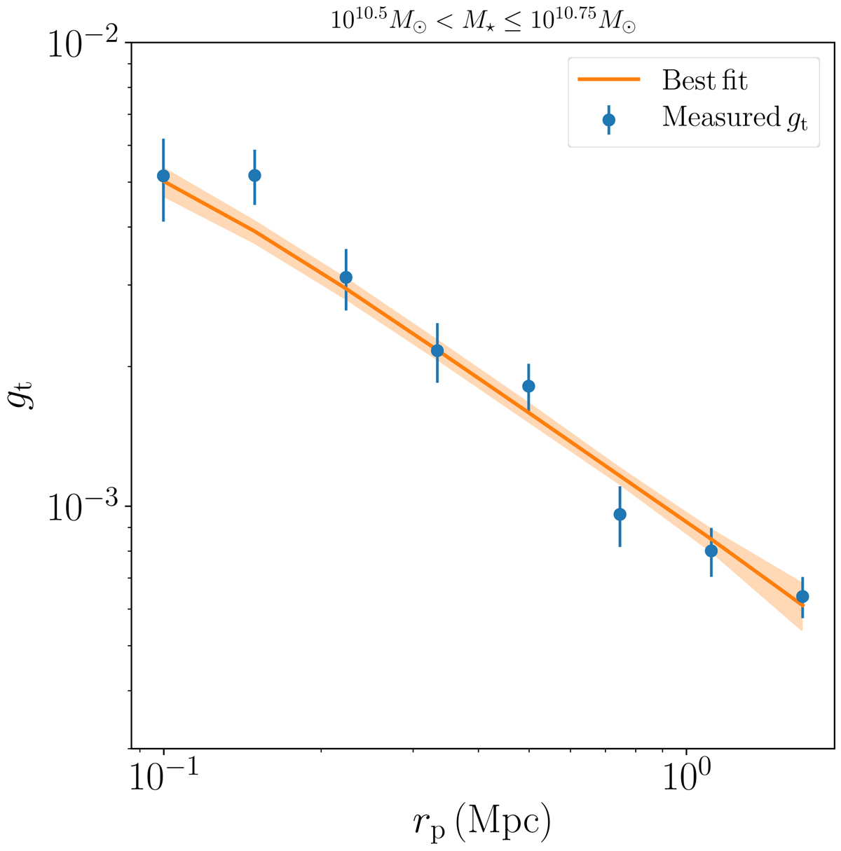
Fig. 4.

image

Stacked tangential shear profile for the GAMA lenses (blue points) in the 1010.5–1010.75M stellar mass bin, compared to the best fitting lensing model for the 1D method, with contributions from both centrals and satellites. The orange band encloses the 68% credible interval.

Current usage metrics show cumulative count of Article Views (full-text article views including HTML views, PDF and ePub downloads, according to the available data) and Abstracts Views on Vision4Press platform.

Data correspond to usage on the plateform after 2015. The current usage metrics is available 48-96 hours after online publication and is updated daily on week days.

Initial download of the metrics may take a while.