Free Access
Fig. 4.

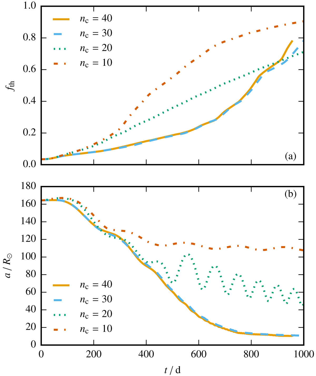
Upper panel: fraction of unbound mass fth under the thermal energy criterion over time. The legend denotes the imposed number of cells nc per softening length. Lower panel: separation between the core particles is shown.
Current usage metrics show cumulative count of Article Views (full-text article views including HTML views, PDF and ePub downloads, according to the available data) and Abstracts Views on Vision4Press platform.
Data correspond to usage on the plateform after 2015. The current usage metrics is available 48-96 hours after online publication and is updated daily on week days.
Initial download of the metrics may take a while.