Free Access
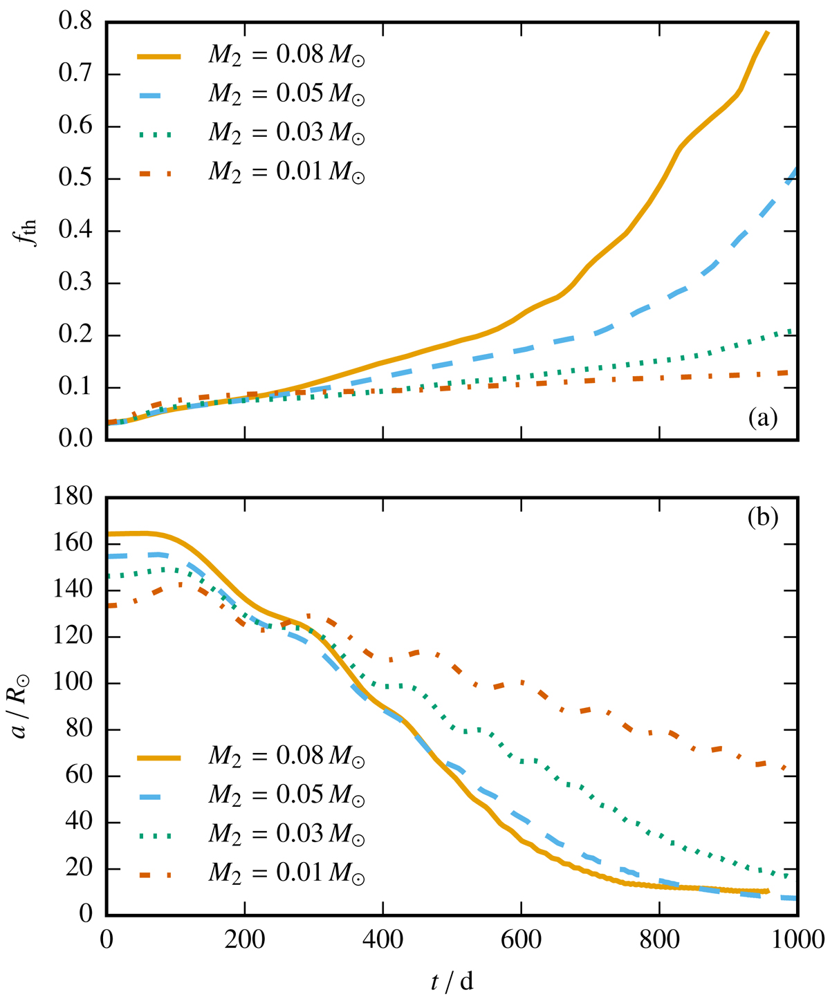
Fig. 7.

Fraction of unbound mass fth according to the thermal energy criterion and orbital separation a between the core particles over time for simulations with the indicated companion masses M2.
Current usage metrics show cumulative count of Article Views (full-text article views including HTML views, PDF and ePub downloads, according to the available data) and Abstracts Views on Vision4Press platform.
Data correspond to usage on the plateform after 2015. The current usage metrics is available 48-96 hours after online publication and is updated daily on week days.
Initial download of the metrics may take a while.