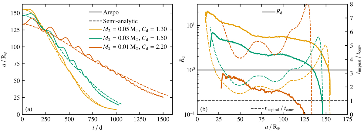
Fig. 8.

Comparison of the evolution of the orbital separation of the various AREPO runs with the simplified drag model (left panel a), and the dynamic response number Rd and the local ratios of inspiral and convective turn-over time (right panel b). The evolution of the orbital separation of a 0.08 M⊙ companion is similar to that of the 0.05 M⊙ companion (Fig. 7) and therefore not shown here for clarity.
Current usage metrics show cumulative count of Article Views (full-text article views including HTML views, PDF and ePub downloads, according to the available data) and Abstracts Views on Vision4Press platform.
Data correspond to usage on the plateform after 2015. The current usage metrics is available 48-96 hours after online publication and is updated daily on week days.
Initial download of the metrics may take a while.