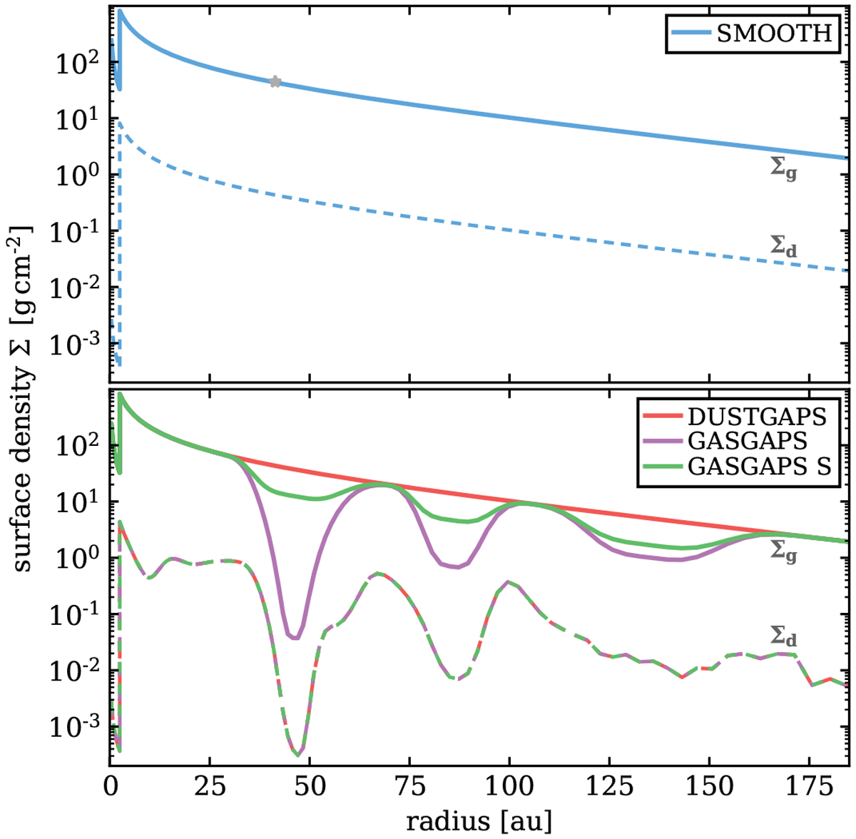
Fig. 1

Gas (Σg, solid lines) and dust (Σd, dashed lines) surface densities for the inner 180 au of our fiducial disk models. Top panel: initial SMOOTH model without any gaps or rings. The grey star symbol indicates the gas surface density of 44.4 g cm−2 as measured by Booth et al. (2019) using 13C17O J = 3−2 observationswith a spatial resolution of ≈70 au. Bottom panel: models using the same fitted dust surface density profile but varying gas surface density profiles (see Sect. 2.4). All models are described in Table 1.
Current usage metrics show cumulative count of Article Views (full-text article views including HTML views, PDF and ePub downloads, according to the available data) and Abstracts Views on Vision4Press platform.
Data correspond to usage on the plateform after 2015. The current usage metrics is available 48-96 hours after online publication and is updated daily on week days.
Initial download of the metrics may take a while.