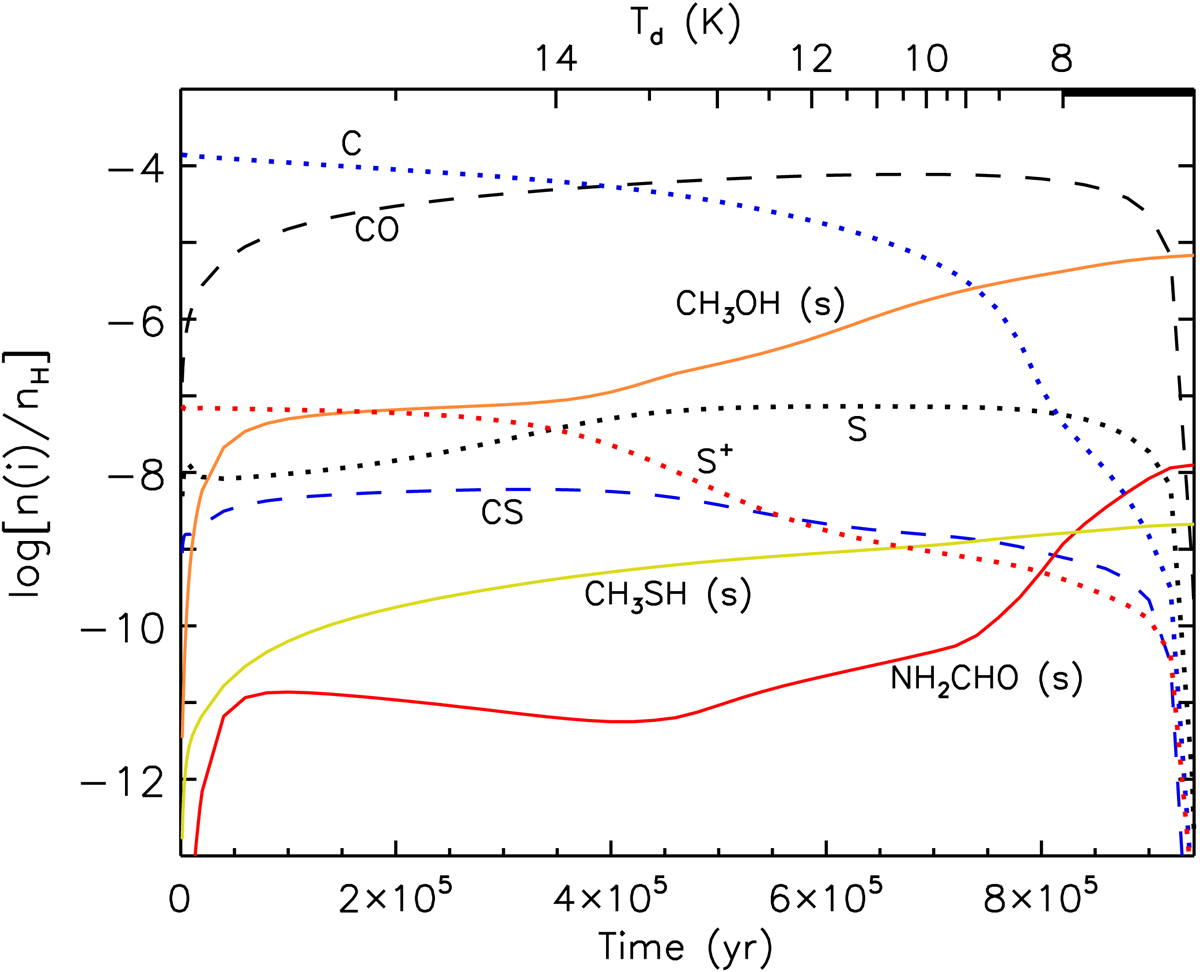
Fig. 5.

Fractional abundances with respect to total hydrogen for selected gas- and solid-phase species during the cold-collapse stage of hot core evolution based on data from the “final” model of Garrod et al. (in prep.). Solid-phase species are marked “(s)” and are plotted with a solid line. The dust temperature is indicated on the top axis and has a lower limit of 8 K.
Current usage metrics show cumulative count of Article Views (full-text article views including HTML views, PDF and ePub downloads, according to the available data) and Abstracts Views on Vision4Press platform.
Data correspond to usage on the plateform after 2015. The current usage metrics is available 48-96 hours after online publication and is updated daily on week days.
Initial download of the metrics may take a while.