Free Access
Fig. A.2

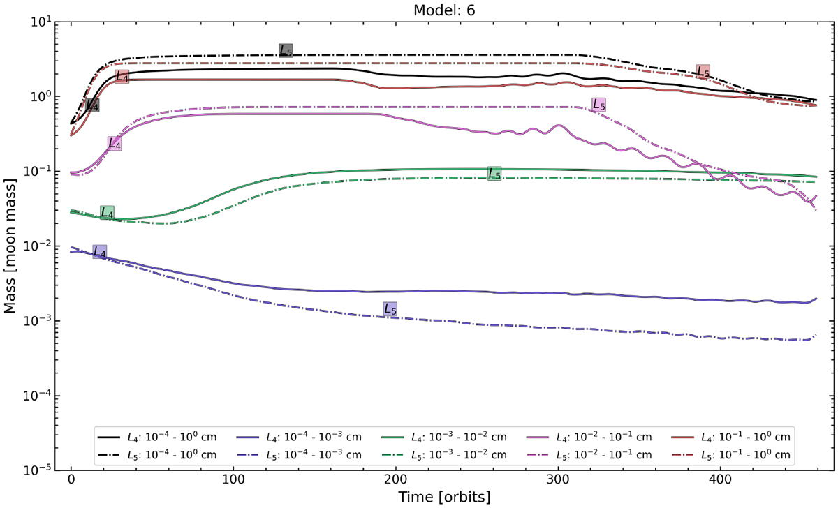
Dust mass accumulated in time around the Lagrangian points L4 (continuous line) and L5 (dotted line) for model 6. Evolution is shown for different sizes, including the effective (all sizes) accumulated mass (black continuous line).
Current usage metrics show cumulative count of Article Views (full-text article views including HTML views, PDF and ePub downloads, according to the available data) and Abstracts Views on Vision4Press platform.
Data correspond to usage on the plateform after 2015. The current usage metrics is available 48-96 hours after online publication and is updated daily on week days.
Initial download of the metrics may take a while.