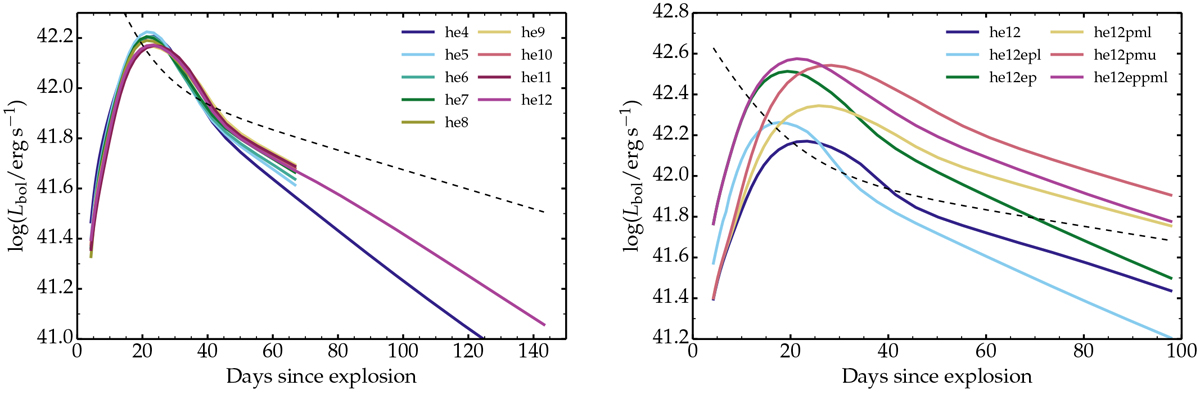
Fig. 2

Left: bolometric light curves computed with CMFGEN for the explosion models based on He-star models he4 to he12. All nine models have the same 56Ni mass of 0.08 M⊙ and the same ejecta kinetic energy per unit mass of 5 × 1050 erg .
Right: bolometric light curves for model he12 and variants that include power from the compact remnant (he12pml and he12pmu), a higher kinetic energy (he12epl), a higher kinetic energy and higher
56Ni mass (he12ep), and both combined (he12eppml). Details on these ejecta model parameters are given in
Table 2. In both panels, the dashed line gives the instantaneous decay power emitted by an initial
56Ni mass of 0.08 M⊙.
Current usage metrics show cumulative count of Article Views (full-text article views including HTML views, PDF and ePub downloads, according to the available data) and Abstracts Views on Vision4Press platform.
Data correspond to usage on the plateform after 2015. The current usage metrics is available 48-96 hours after online publication and is updated daily on week days.
Initial download of the metrics may take a while.