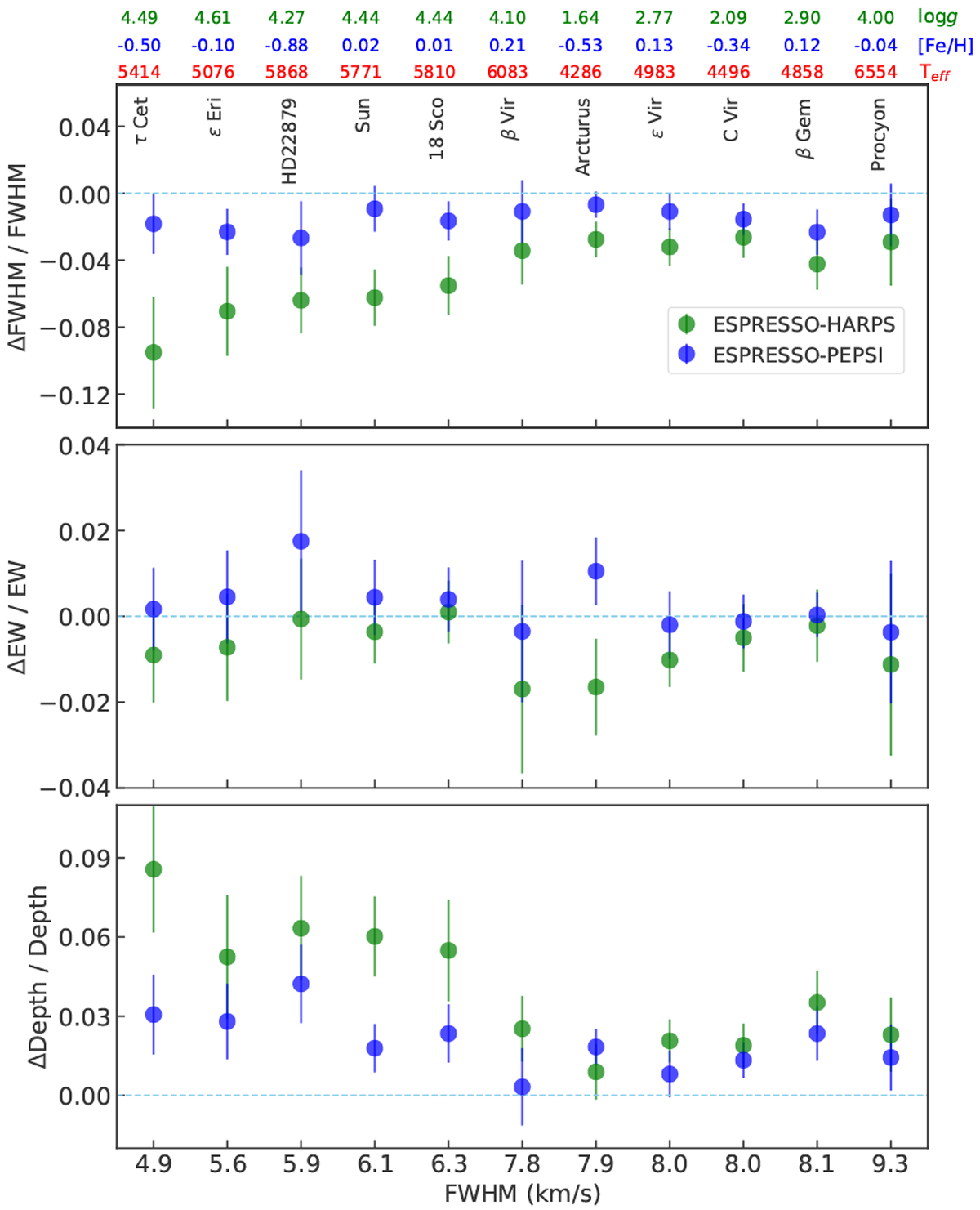
Fig. 13

Relative difference in line parameters between ESPRESSO, PEPSI, and HARPS as a function of the mean FWHM of the lines. The symbols correspond to the mean value calculated for all the spectral lines, and the error bar represents the line-to-line dispersion. The atmospheric parameters of the stars are shown at the top of the panels.
Current usage metrics show cumulative count of Article Views (full-text article views including HTML views, PDF and ePub downloads, according to the available data) and Abstracts Views on Vision4Press platform.
Data correspond to usage on the plateform after 2015. The current usage metrics is available 48-96 hours after online publication and is updated daily on week days.
Initial download of the metrics may take a while.