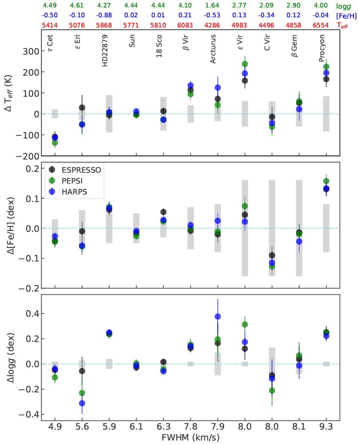
Fig. 15

Stellar atmospheric parameters relative to the reference values derived with the ESPRESSO (black), PEPSI (green), andHARPS (blue) spectra as a function of the mean FWHM of the lines. The atmospheric parameters of the stars are shown at the top of the panels. The reference values are from Jofré et al. (2014) and Heiter et al. (2015). The gray areas represent the uncertainties of the reference parameters.
Current usage metrics show cumulative count of Article Views (full-text article views including HTML views, PDF and ePub downloads, according to the available data) and Abstracts Views on Vision4Press platform.
Data correspond to usage on the plateform after 2015. The current usage metrics is available 48-96 hours after online publication and is updated daily on week days.
Initial download of the metrics may take a while.