Open Access

Fig. 11

image

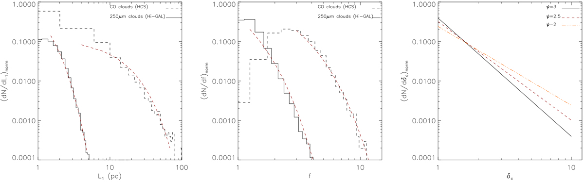
Fractional probability distribution functions of the size of the major axis (left) and aspect ratio of clouds (middle) found in the 250 μm maps of the Hi-GAL survey (Molinari et al. 2016; Elia et al. 2017; full line) and in the 12CO FCRAO HCS survey (Heyer et al. 2001; Dib et al. 2009; dashed line). The distribution of column density contrast is assumed to be a power law. The distributions of L1 and f are fitted with parameterized functions. The values of the parameters of the fit are reported in the main text.

Current usage metrics show cumulative count of Article Views (full-text article views including HTML views, PDF and ePub downloads, according to the available data) and Abstracts Views on Vision4Press platform.

Data correspond to usage on the plateform after 2015. The current usage metrics is available 48-96 hours after online publication and is updated daily on week days.

Initial download of the metrics may take a while.