Free Access

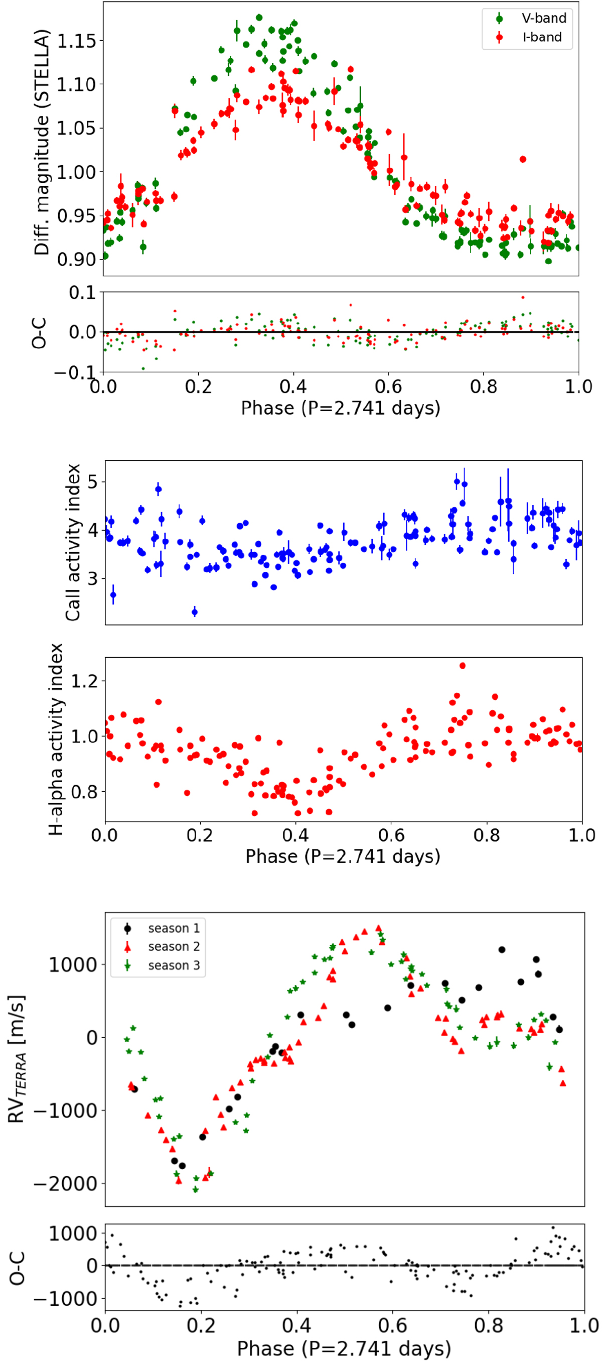
Fig. 10

image

STELLA light curves (upper panel), CaII H&K and H-α activity indicators (middle panel), and TERRA RVs (lower panel) phase folded using the same period P = 2.741 d and reference epoch of the STELLA V band photometry andKepler/K2 light curve in Fig. 1. Subplots for the light curves and RVs show the residuals O–C of the best-fit sine function obtained with the GLS software.

Current usage metrics show cumulative count of Article Views (full-text article views including HTML views, PDF and ePub downloads, according to the available data) and Abstracts Views on Vision4Press platform.

Data correspond to usage on the plateform after 2015. The current usage metrics is available 48-96 hours after online publication and is updated daily on week days.

Initial download of the metrics may take a while.