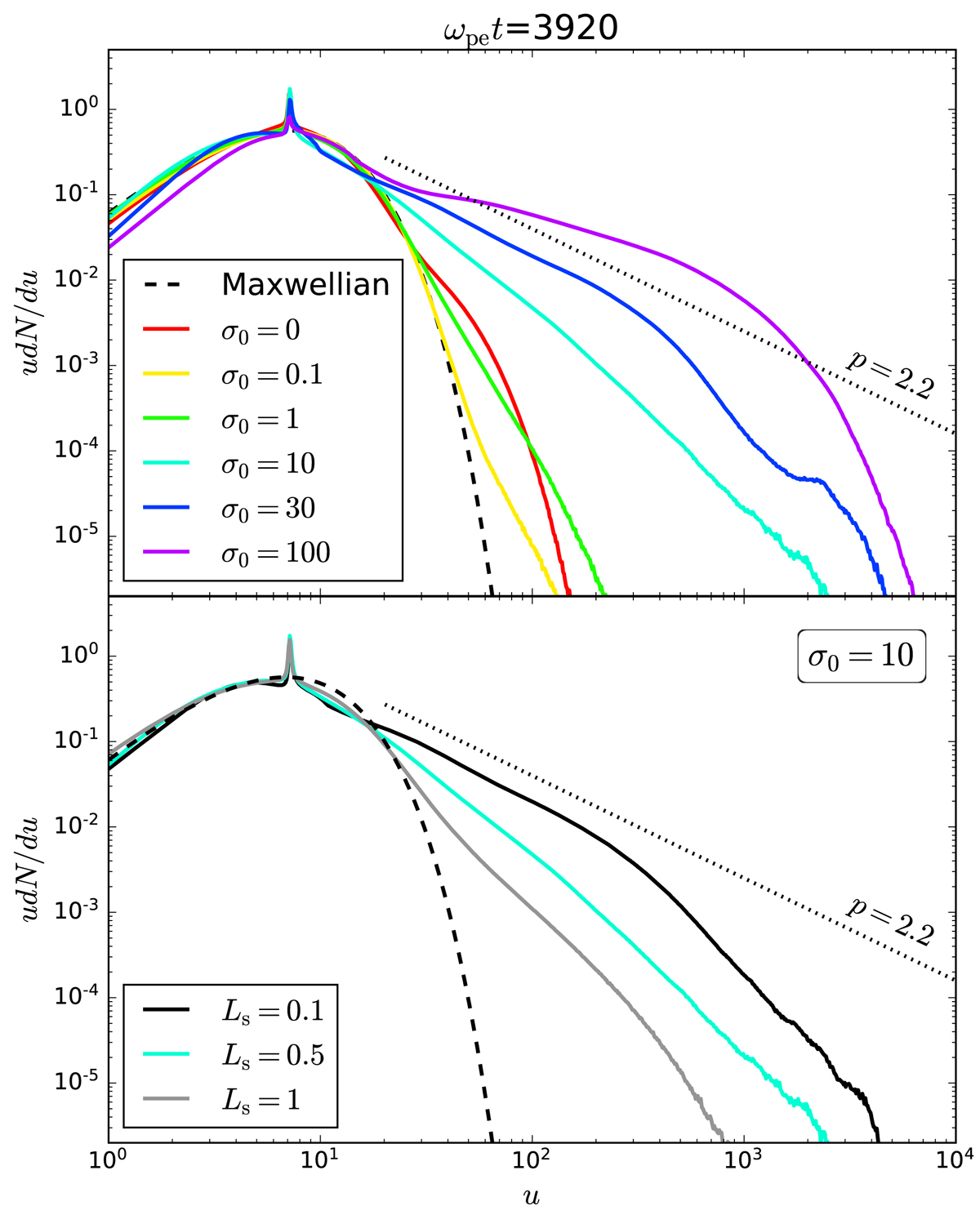
Fig. 6.

Top: total particle spectrum as a function of the dimensionless total particle momentum, u = γβ for all the magnetizations explored in this study and at the same time ωpet = 3920. Bottom: effect of the striped wind filling factor on the final particle spectrum, Ls/Ly for σ0 = 10 at the same time as in the top panel. The black dotted line shows a power law dN/du ∝ u−p of index 2.2. The black dashed line is a 2D relativistic Maxwellian distribution for comparison.
Current usage metrics show cumulative count of Article Views (full-text article views including HTML views, PDF and ePub downloads, according to the available data) and Abstracts Views on Vision4Press platform.
Data correspond to usage on the plateform after 2015. The current usage metrics is available 48-96 hours after online publication and is updated daily on week days.
Initial download of the metrics may take a while.