Free Access
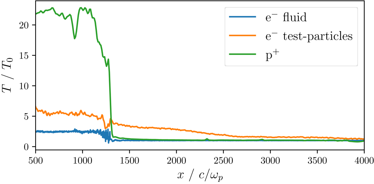
Fig. 10.

Spatial dependence of the temperature for the electron fluid (blue), test-particle electrons (orange), and protons (green) at t ωc = 400 for a simulation (T) with v0/vA = 10. Independent of the initial test-electron distribution, (T), (B), or (S), their temperature space profiles show significant heating in the precursor.
Current usage metrics show cumulative count of Article Views (full-text article views including HTML views, PDF and ePub downloads, according to the available data) and Abstracts Views on Vision4Press platform.
Data correspond to usage on the plateform after 2015. The current usage metrics is available 48-96 hours after online publication and is updated daily on week days.
Initial download of the metrics may take a while.