Free Access
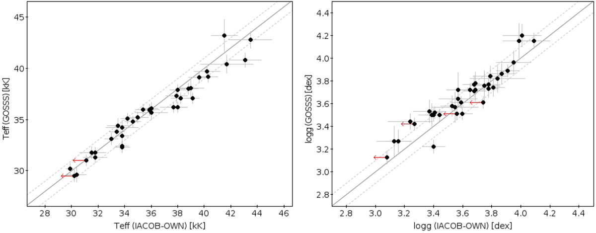
Fig. 3

Comparison between the stellar parameters obtained using spectra from the IACOB-OWN (R ≥ 25 000) and the GOSSS surveys (R ~ 2500) for a sample of 37 standard O-type stars in common. The same v sin i values and set of diagnostic lines were used for the spectroscopic analysis. Red arrows indicate upper limits.
Current usage metrics show cumulative count of Article Views (full-text article views including HTML views, PDF and ePub downloads, according to the available data) and Abstracts Views on Vision4Press platform.
Data correspond to usage on the plateform after 2015. The current usage metrics is available 48-96 hours after online publication and is updated daily on week days.
Initial download of the metrics may take a while.