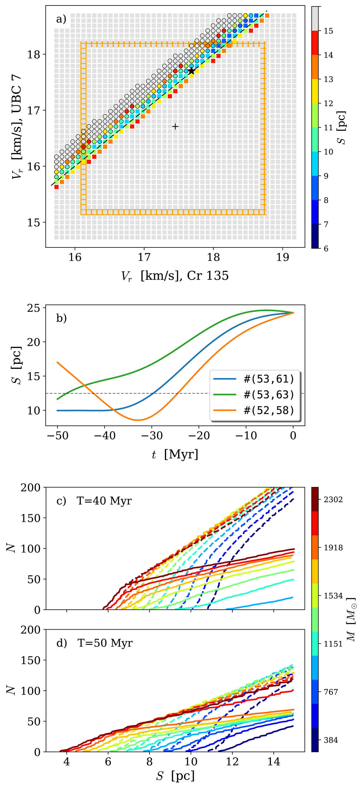
Fig. 2.

Numerical backward integration of two point masses representing the clusters in the external Milky Way potential. (a) The run mesh (fragment) for cluster age T = 50 Myr: small squares represent individual runs with different present-day (t = 0) LOS velocities. Coloured squares mark runs with primordial separations smaller than 15 pc. The black plus and star denote the central Vr values and run #(53,61) given in panel b. Rimmed circles mark runs with negative primordial energy EK. The dashed black line and the orange rectangle depict the line of equal LOS velocities and the runs within ±1σ from mid values. (b) Typical curves of separation S(t). (c, d) The cumulative number of runs vs. the primordial separation below 15 pc for 40 and 50 Myr. The dashed lines show all runs within 1σ-rectangle, and the solid lines show only runs with negative energy EK (bound). Colours of the lines code the total mass M of the clusters.
Current usage metrics show cumulative count of Article Views (full-text article views including HTML views, PDF and ePub downloads, according to the available data) and Abstracts Views on Vision4Press platform.
Data correspond to usage on the plateform after 2015. The current usage metrics is available 48-96 hours after online publication and is updated daily on week days.
Initial download of the metrics may take a while.