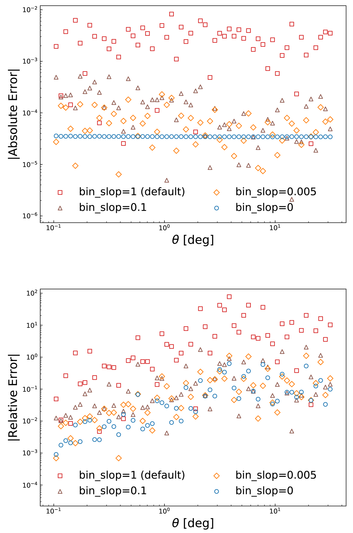
Fig. C.2.

Top: mean absolute error of TREECORR with respect to the brute force algorithm. We compare the TREECORR default settings (red boxes), two small values for bin_slop (brown triangles: 0.1, orange diamonds: 0.05) and the best possible TREECORR precision (bin_slop = 0, blue circles). Bottom: relative error of TREECORR with respect to the brute force algorithm, calculated via Eq. (C.1).
Current usage metrics show cumulative count of Article Views (full-text article views including HTML views, PDF and ePub downloads, according to the available data) and Abstracts Views on Vision4Press platform.
Data correspond to usage on the plateform after 2015. The current usage metrics is available 48-96 hours after online publication and is updated daily on week days.
Initial download of the metrics may take a while.