Open Access

Fig. B.1

image

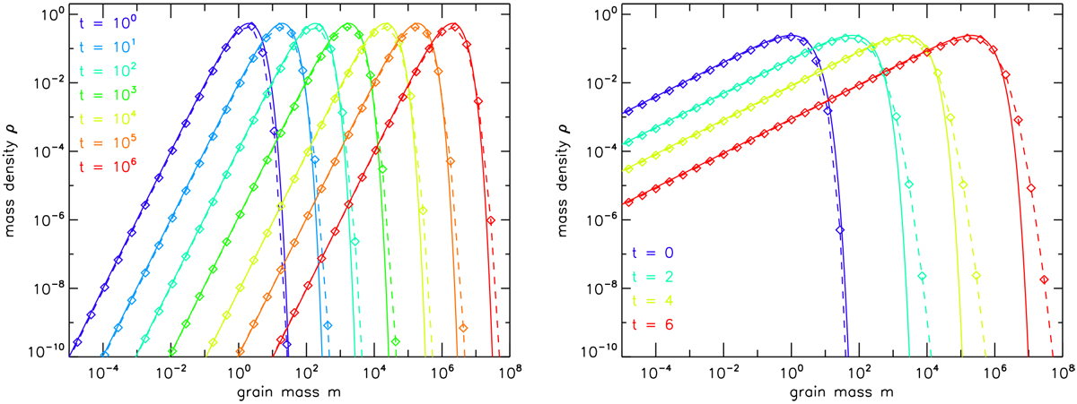
Comparison between the analytical (solid) and numerical (dashed) solutions to the Smoluchowski equation, at various adimensioned time steps, in the case of a constant (left) and additive (right) kernels, with 35 size bins equally spaced in logarithmic scale over a range [4 × 10−6 : 4 × 108] in mass (η = 0.4). Diamonds indicate the mean mass and mass density in each bin. Grain growth is linear with time for the constant kernel, and exponential with time for the additive kernel.

Current usage metrics show cumulative count of Article Views (full-text article views including HTML views, PDF and ePub downloads, according to the available data) and Abstracts Views on Vision4Press platform.

Data correspond to usage on the plateform after 2015. The current usage metrics is available 48-96 hours after online publication and is updated daily on week days.

Initial download of the metrics may take a while.