Open Access
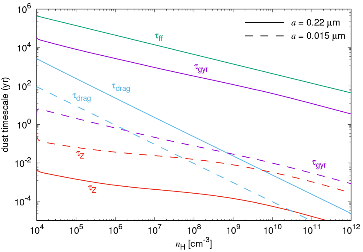
Fig. 5

Characteristical timescales as a function of the proton density, for the larger and smaller dust grain of the initial size distribution (of radius 0.22 and 0.015 μm respectively): gyration timescale (τgyr), stopping timescale τdrag, and charge fluctuation timescale (τZ), compared to the free-fall timescale τff.
Current usage metrics show cumulative count of Article Views (full-text article views including HTML views, PDF and ePub downloads, according to the available data) and Abstracts Views on Vision4Press platform.
Data correspond to usage on the plateform after 2015. The current usage metrics is available 48-96 hours after online publication and is updated daily on week days.
Initial download of the metrics may take a while.