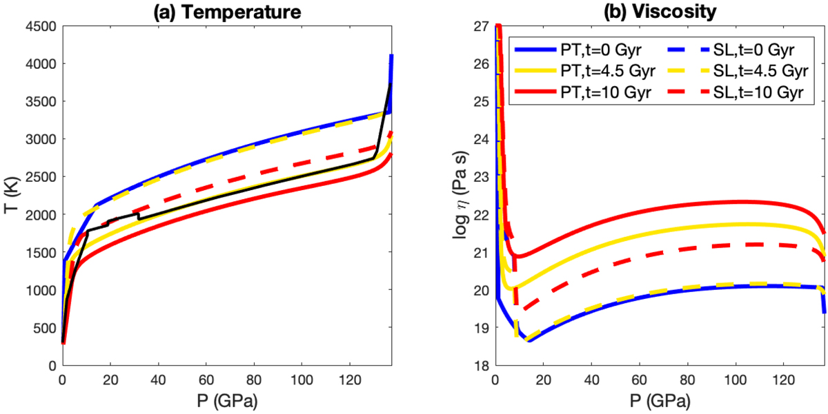
Fig. 7

Evolution of the mantle temperature (a) and viscosity (b) for a planet with Earth-like composition (Mg/Si = 1.2, 8 wt% FeO) in the PT- and SL-cases as a function of pressure (GPa), ranging from the surface (0 GPa) to the core–mantle boundary (138 GPa, 2891 km). Profiles are shown for the initial condition (t = 0 Gyr), current age of the Earth (t = 4.55 Gyr), and for the estimated lifetime of the Sun (t = 10.0 Gyr). Independently estimated profiles for the present-day Earth are shown as black lines (Stacey & Davis 2008).
Current usage metrics show cumulative count of Article Views (full-text article views including HTML views, PDF and ePub downloads, according to the available data) and Abstracts Views on Vision4Press platform.
Data correspond to usage on the plateform after 2015. The current usage metrics is available 48-96 hours after online publication and is updated daily on week days.
Initial download of the metrics may take a while.