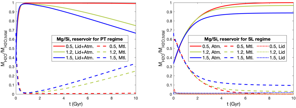
Fig. 9

Evolution of volatile reservoirs (mantle – dashed line, atmosphere – solid line, lid – dotted line) of a planet in the plate tectonics (left) and stagnant lid (right) regime, with Earth-like bulk mantle iron (8 wt% FeO), as a function of model time (Gyr). Total water mass
is equal to three Earth ocean masses. Note that the lid reservoir occurs only in the SL regime, being fed by intrusions. In the PT regime, the lid reservoir is counted towards the atmosphere reservoir, and eventually becomes part of the ingassing term (see Sect. 2).
Current usage metrics show cumulative count of Article Views (full-text article views including HTML views, PDF and ePub downloads, according to the available data) and Abstracts Views on Vision4Press platform.
Data correspond to usage on the plateform after 2015. The current usage metrics is available 48-96 hours after online publication and is updated daily on week days.
Initial download of the metrics may take a while.