Open Access

Fig. 1

image

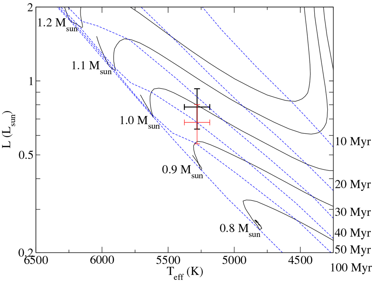
V530 Per in the Hertzsprung-Russell diagram, with evolutionary tracks generated by the STAREVOL code. Evolutionary tracks are given for 0.1 M steps (full lines), and isochrones are overimposed for 10, 20, 30, 40, 50 and 100 Myr (dashed lines). The black and red crosses are obtained from the K and J magnitudes, respectively.

Current usage metrics show cumulative count of Article Views (full-text article views including HTML views, PDF and ePub downloads, according to the available data) and Abstracts Views on Vision4Press platform.

Data correspond to usage on the plateform after 2015. The current usage metrics is available 48-96 hours after online publication and is updated daily on week days.

Initial download of the metrics may take a while.